Предмет: Математика,
автор: mofifi
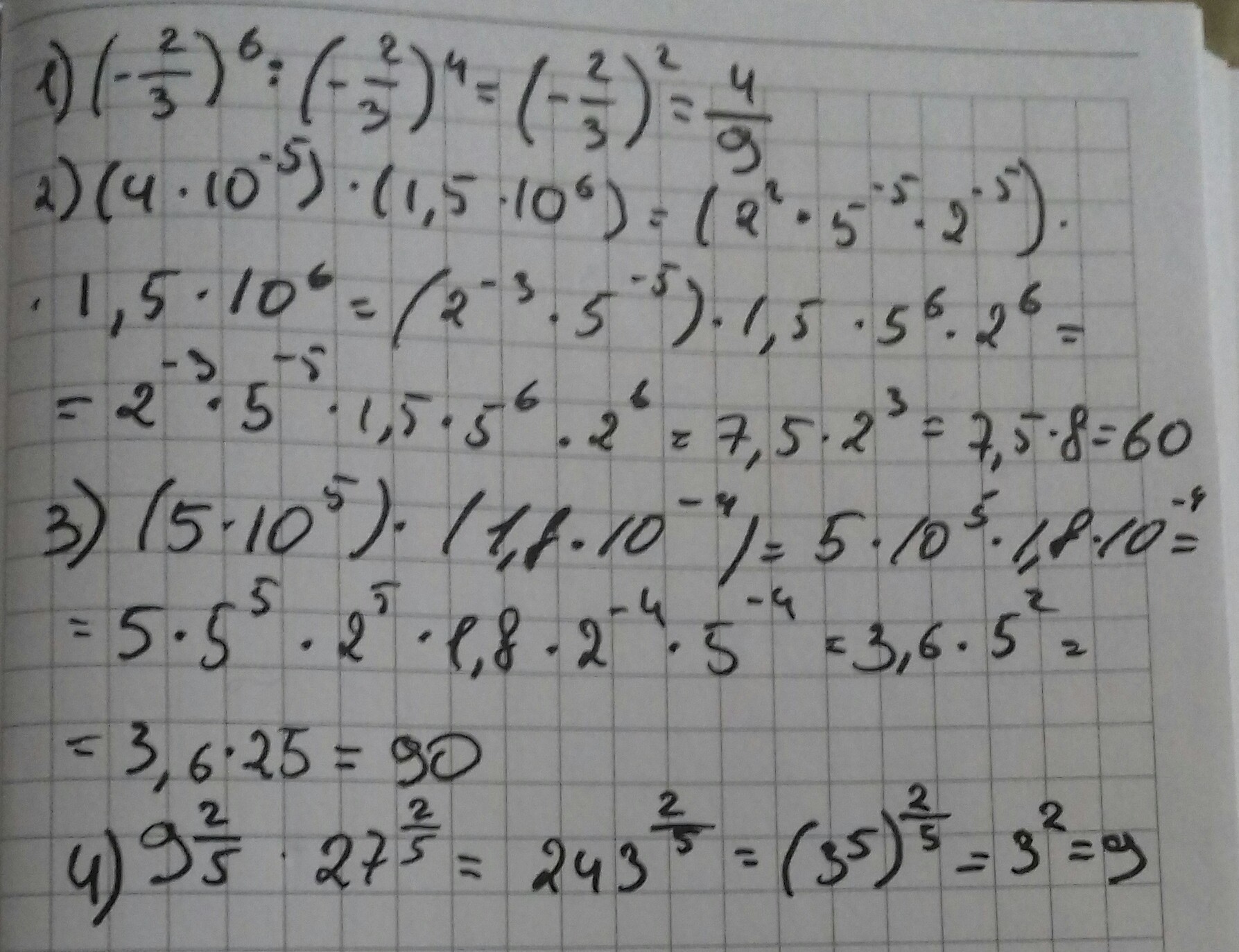
Решите примеры, пожалуйста.
Приложения:
Ответы
Автор ответа:
0
Желаю успехов в учёбе!
Приложения:
Похожие вопросы
Предмет: Английский язык,
автор: anastasabel
Предмет: География,
автор: Аноним
Предмет: Английский язык,
автор: wiskace
Предмет: Математика,
автор: Аноним
Предмет: Математика,
автор: nessi774