Предмет: Математика,
автор: RSL1
N857 пмгите. Я не знаю что делать дальше с моей стороны и я не знаю что делать
Приложения:
Ответы
Автор ответа:
0
ответы место цифр буквы
Приложения:
Автор ответа:
0
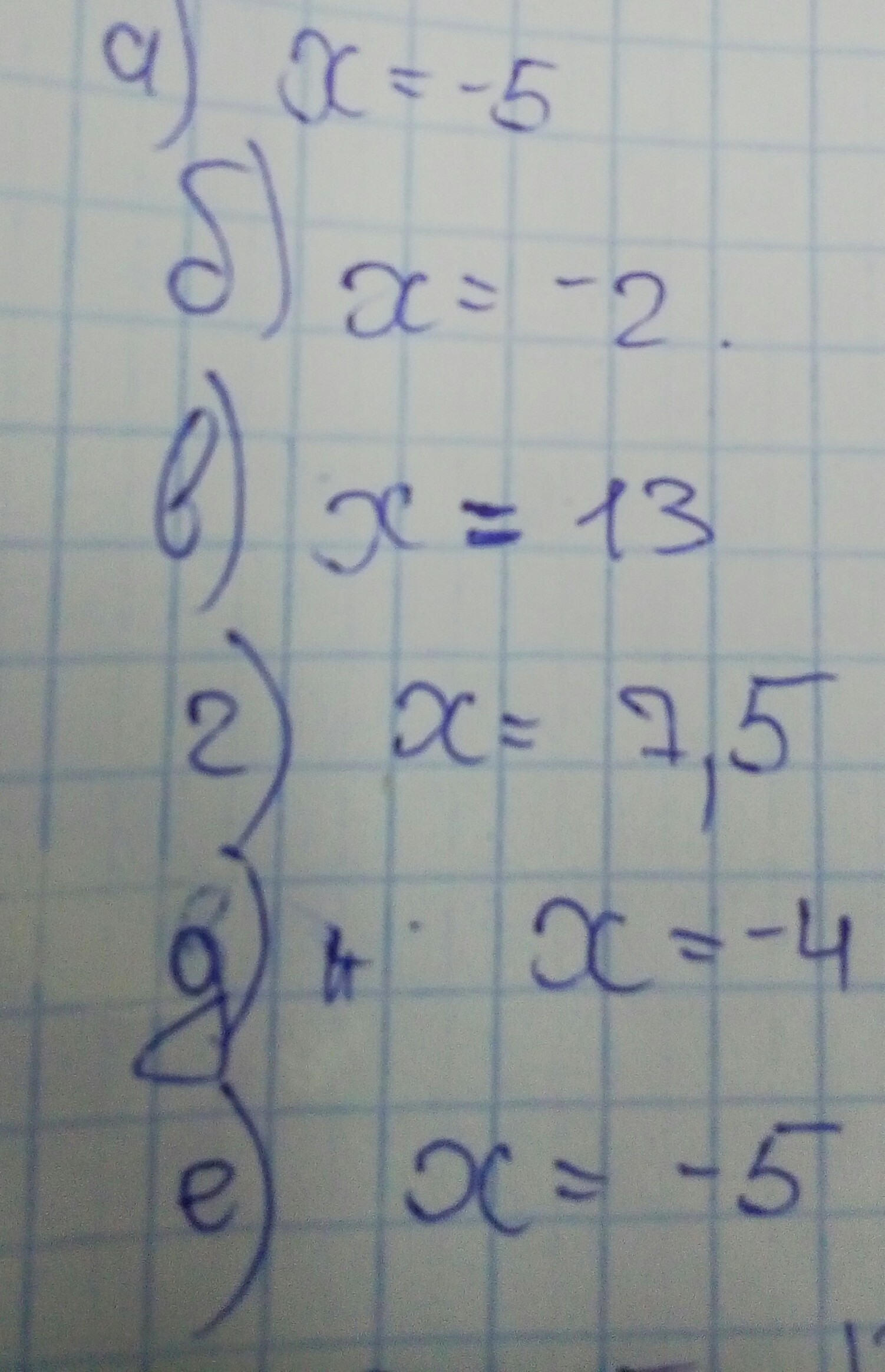
1) 2х+17=22+3х
-х=5
х=-5
2)18+3х=х+14
2х=-4
х=-2
3)25-4х=12-5х
х=13
4)13х+27=16х+4,5
-3х=-22,5
х=7,5
5)21х+45=17+14х
7х=-28
х=-4
6)13х+70=2х+15
11х=-55
х=-5
Приложения:
Похожие вопросы
Предмет: Литература,
автор: djejehehe
Предмет: Физика,
автор: jdkfjkekek
Предмет: История,
автор: aliskdudkaonelove
Предмет: Математика,
автор: maksalla81
Предмет: Математика,
автор: nezhdanof