Предмет: Математика,
автор: Kyrill18078
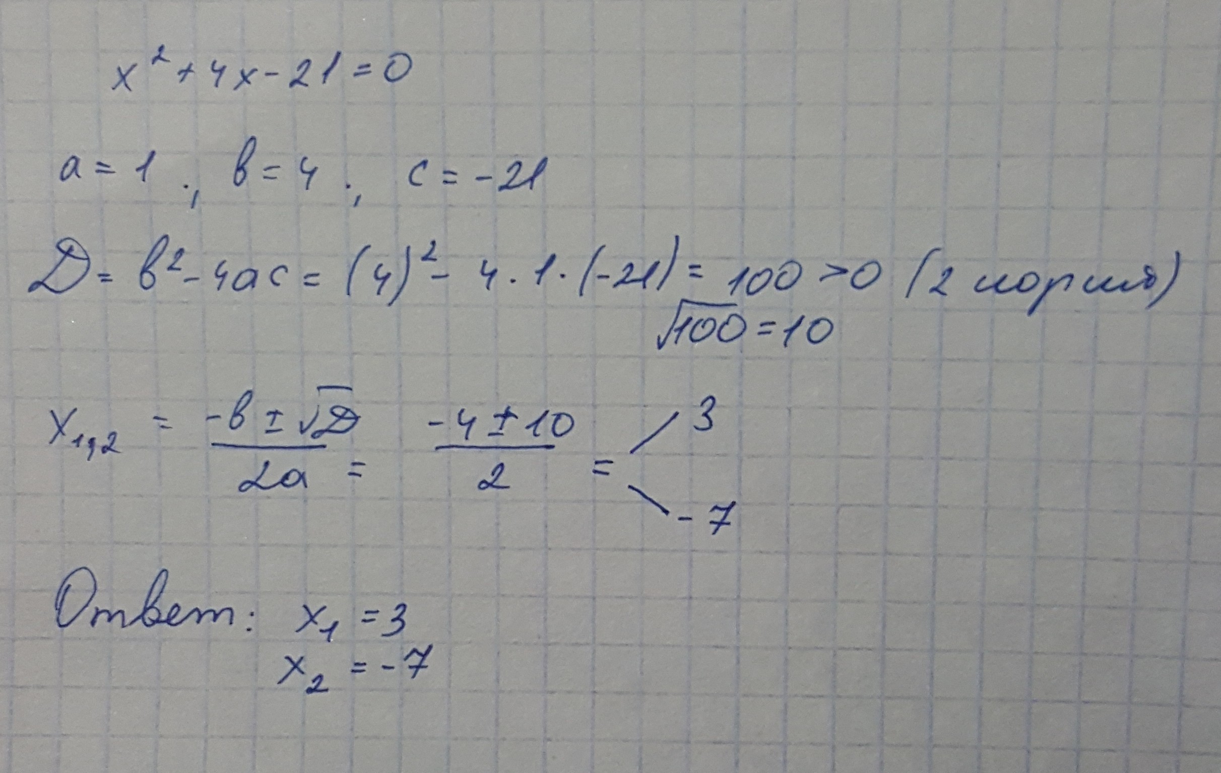
Помогите решить надо найти корни х²+4х-21=0
Ответы
Автор ответа:
0
держи
надеюсь помогла
надеюсь помогла
Приложения:
Похожие вопросы
Предмет: Українська мова,
автор: lelya6322
Предмет: Другие предметы,
автор: molvenxxxfantazer
Предмет: Русский язык,
автор: amaliy1999rom
Предмет: Алгебра,
автор: malikatuv