Предмет: Математика,
автор: aselbakhtiyarkizi
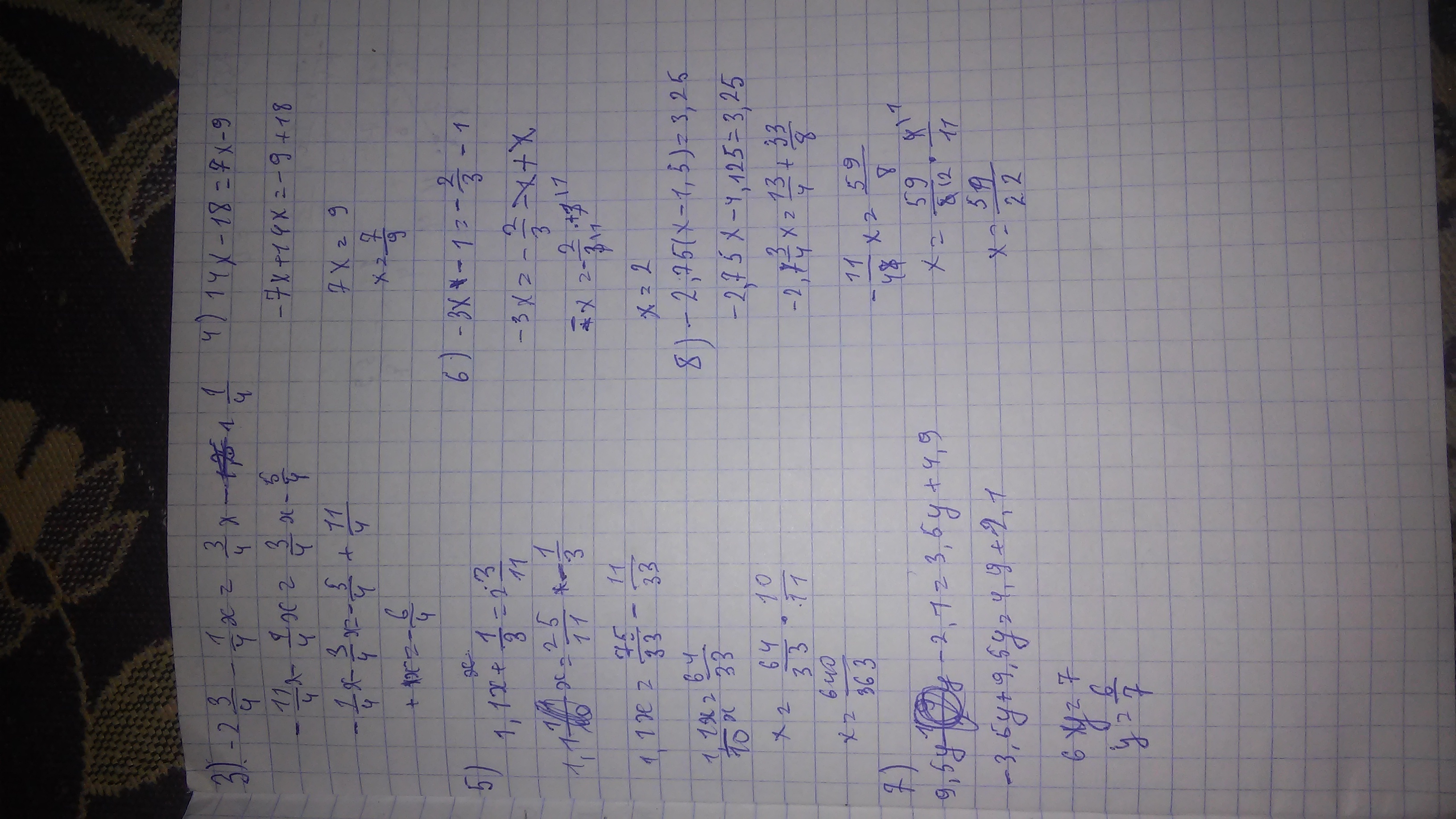
3)-2 3/4-1/4x=3/4x-1,25
4)14x-18=7x-9
5)1,1x+1/3=2 3/11
6)-3(x+1/3)=2(-1/3-1/2)
7)9 1/2y-2,1=3,5y+4,9
8)-2 3/4•(x-1,5)=3 1/4
Ответы
Автор ответа:
0
на тебе на фото дал 2 из наверное неправильно
Приложения:
Похожие вопросы
Предмет: Английский язык,
автор: aruka2103
Предмет: Физика,
автор: Alimkhan017
Предмет: Биология,
автор: varsab
Предмет: Физика,
автор: doolotov2007
Предмет: Алгебра,
автор: Ева7890