Предмет: Математика,
автор: ymniupisos
Помогите решить , срочно
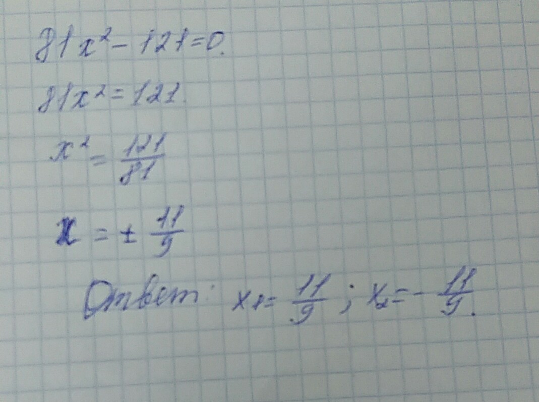
81 x ^2-121=0
^ это степень
Ответы
Автор ответа:
0
Держи, надеюсь всё внятно.)
Приложения:
Похожие вопросы
Предмет: География,
автор: nnl645840
Предмет: Українська мова,
автор: antonenkoraa
Предмет: Литература,
автор: alex123787
Предмет: Математика,
автор: 4чуда
Предмет: Математика,
автор: 0001655