Предмет: Алгебра,
автор: PALADINYS
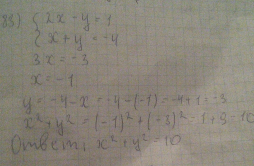
5x - y = 10 нужно как пример на 4x + y = 8 фоте решить эту систему уравнений толька по понятней!)
Приложения:
Ответы
Автор ответа:
0
вот только непонятно зачем там последнее икс в квадрате плюс игрек в квадрате.
это вроде лишнее, просто как дополнение
это вроде лишнее, просто как дополнение
Приложения:
Автор ответа:
0
объяснения нужны?
Похожие вопросы
Предмет: Геометрия,
автор: Anatoliikov
Предмет: Немецкий язык,
автор: Аноним
Предмет: Українська література,
автор: Roman67667
Предмет: Математика,
автор: мурзик12345679