Предмет: Алгебра, автор: KOJIOCOK

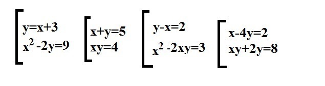
Решите методом подстановки системы уравнений: (есть фото)

Приложения:

Ответы

Автор ответа: verhoturceva88
0
Решение на фотографии (разберись там)
Приложения:
Автор ответа: KOJIOCOK
0
Спасибр за помощь!
Похожие вопросы
Предмет: Физика, автор: usunfos22
Задача 4.1. Моноколесо
Емкость батареи моноколеса равна Q=1110 Вт·ч. Какой постоянный ток будет протекать через батарею, если полное время зарядки батареи равно t= 6 ч? Напряжение на клеммах батареи равно U=84 В. Внутренним сопротивлением батареи пренебречь. Ответ дать с точностью до десятых долей А.

Задача 4.2. Моноколесо
Продолжение задачи 4.1

Максимальный ток разрядки батареи моноколеса в десять раз превышает постоянный ток зарядки батареи. Какова максимальная мощность электромотора самоката, если постоянное напряжение батареи равно U= 84 В? Ответ дать с точностью до 1 Вт.


Задача 4.3. Моноколесо
Продолжение задач 4.1 и 4.2

С какой максимальной скоростью может ехать человек на моноколесе по горизонтальной дороге, если сила сопротивления воздуха, действующая на человека и моноколесо, при этой скорости равна F=132 Н. Силой трения качения пренебречь. Ответ дать с точностью до 1 км/ч.


Задача 4.4. Моноколесо
Продолжение задач 4.1, 4.2 и 4.3

Человек на моноколесе по горизонтальной дороге проезжает расстояние S=70 км, израсходовав весь заряд батареи. Какое время затратит человек на это путешествие, если движение происходит с постоянной скоростью? Силу сопротивления воздуха считать прямо пропорциональной скорости. Ответ дать с точностью до 1 мин.

Задача 4.5. Моноколесо
Продолжение задач 4.1, 4.2, 4.3 и 4.4

После полной перезарядки батареи, человек массой 100 кг поднимается с постоянной скоростью на моноколесе массой 25 кг в гору высотой h=50 м на l=1 км пути. Средняя мощность двигателя моноколеса равно P=500 Вт. Найти постоянную скорость моноколеса. Ответ дать с точностью до 0,1 м/с. Ускорение свободного падения g=10 Н/кг.
Пожалуйста срочно решите. Даю 30 баллов