Предмет: Алгебра, автор: Fabuolus

Помогите, пожалуйста. Мне очень срочно, потому что сроки сжимаются, а я болел и многое пропустил. Эх, болезни...

Приложения:

Ответы

Автор ответа: ВладимирБ
0
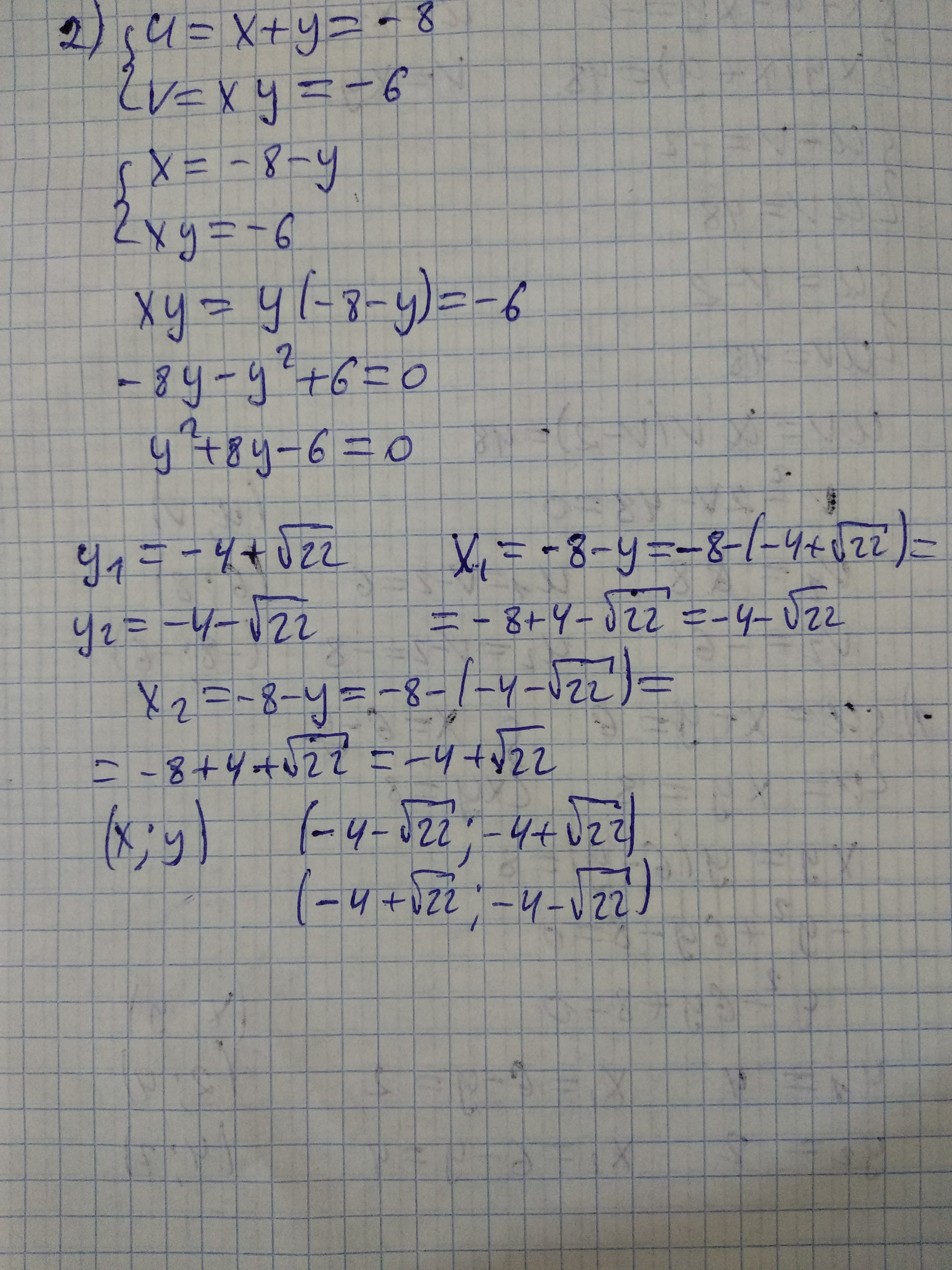
Решение смотри на Фото
Приложения:
Автор ответа: Адема115
0
ок
Автор ответа: Fabuolus
0
Спасибо тебе!)
Автор ответа: Аноним
0
Решения на прикрепленных фотографиях
Приложения:
Похожие вопросы
Предмет: Математика, автор: Аноним
По какой формуле вычисляется периметр прямоугольника со сторонами a и b?

P=4a+4b

P=2a+2b

P=4ab

P=2ab

Вопрос №2 ?
1 балл
Найдите периметр квадрата со стороной 2 см 3 мм.

18 см

8 см 2 мм

4 см 6 мм

9 см 2 мм

Вопрос №3 ?
2 балла
Одна из сторон прямоугольника равна 5 см, а его периметр равен 28 см. Найдите вторую сторону.

9 см

4 см 5 мм

6 см

7 см

Вопрос №4 ?
2 балла
Длина одной стороны прямоугольника равна 17 см, что на 3 см меньше длины другой стороны. Найдите периметр прямоугольника.

74 см

62 см

72 см

64 см

Вопрос №5 ?
2 балла
Одна сторона прямоугольника равна 3 см, а соседняя — в 3 раза больше. Найдите периметр прямоугольника.

24 см

18 см

20 см

22 см

Вопрос №6 ?
4 балла
Прямоугольник, соседние стороны которого равны 36 см и 12 см, и квадрат имеют равные периметры. Найдите сторону квадрата.

В поле «Ответ» необходимо вписать значение в виде числа, без единиц измерения, градусов и тому подобное. Если ответ необходимо записать в виде десятичной дроби, то целую и дробную часть необходимо отделять запятой. Например: 15,5. Если в ответе получено отрицательное число, то в поле «Ответ» следует поставить «-», а после него, без пробелов, полученное значение. Например: -15.

Ответ
Предмет: Математика, автор: artyr7654321