Предмет: Алгебра,
автор: катякатя19
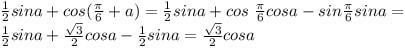
1/2sina+cos(n/6+a) ???
Ответы
Автор ответа:
0
Решение приложено в фото!!!
Приложения:
Автор ответа:
0
что сделали с cosn/6+a
Автор ответа:
0
Преобразовали его
Автор ответа:
0
Просто спишите и все
Автор ответа:
0
Это проа
Автор ответа:
0
правильно*
Похожие вопросы
Предмет: Английский язык,
автор: кристина75567
Предмет: Физика,
автор: shckondinac
Предмет: Русский язык,
автор: raiska2021
Предмет: Математика,
автор: Карина05062003