Предмет: Математика,
автор: lisa2872
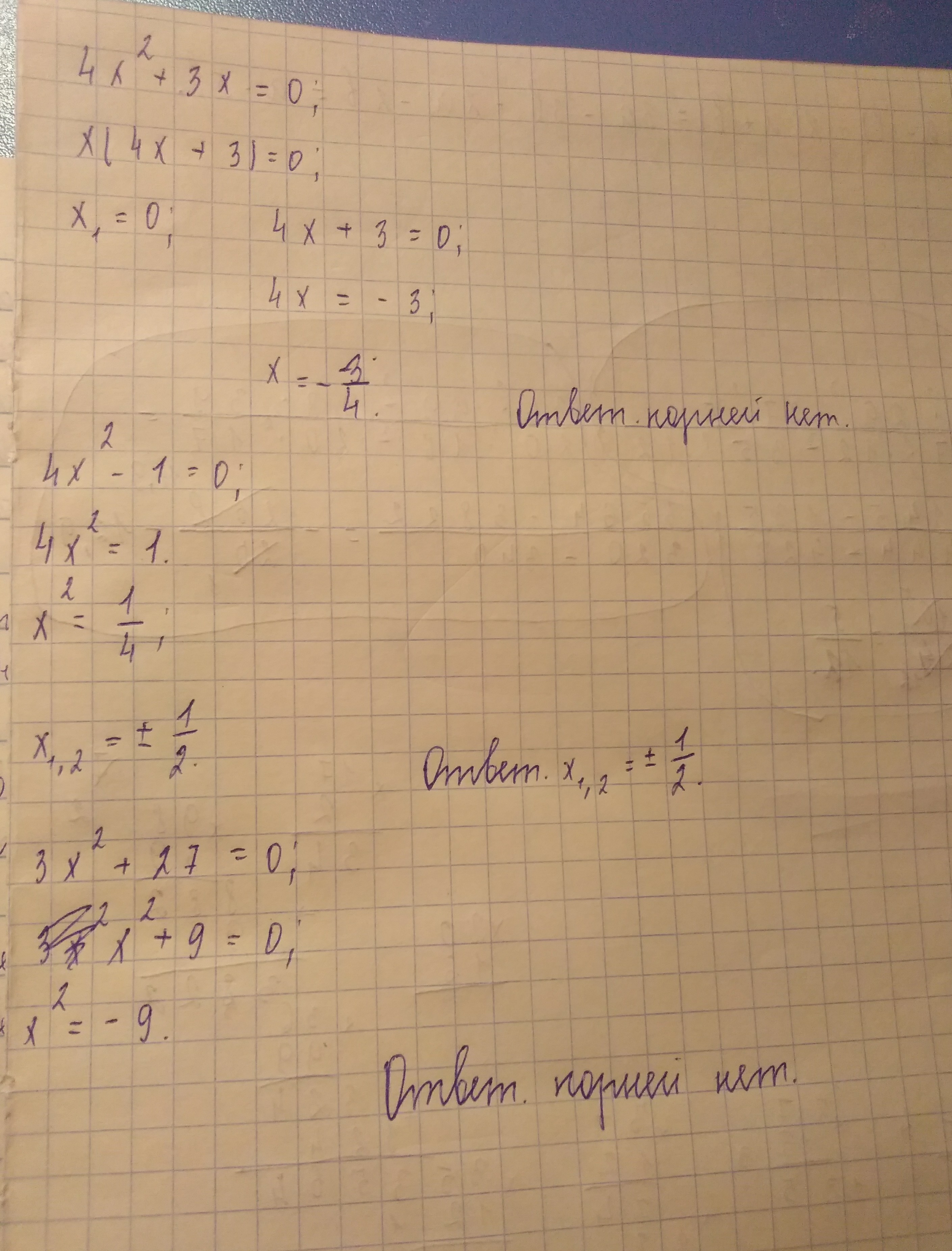
4х²+3х=0
4х²-1=0
3х²+27=0
помогите решить
Ответы
Автор ответа:
0
должно быть всё правильно
Приложения:
Похожие вопросы
Предмет: Українська мова,
автор: jeannap
Предмет: Физкультура и спорт,
автор: shapovalova83
Предмет: Геометрия,
автор: ffggtttyyttrr
Предмет: История,
автор: Элейн
Предмет: Математика,
автор: 8052005