Предмет: Математика,
автор: Калиса1200
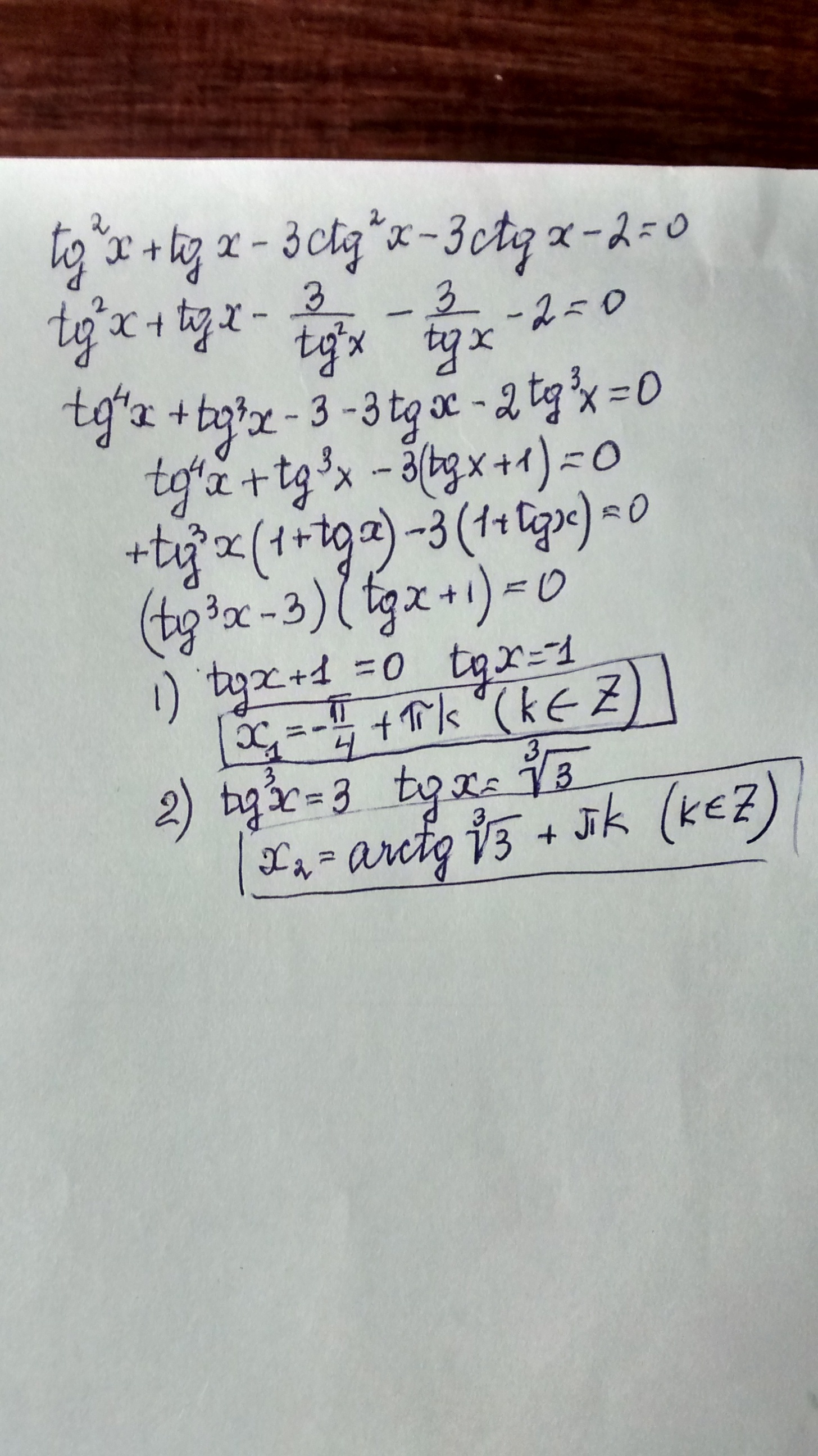
tg^2(x) + tg(x) - 3 ctg^2(x) - 3 ctg(x) - 2 = 0
тригонометрическое уравнение, помогите!!!
Ответы
Автор ответа:
0
Решение на листочке в приложении
Приложения:
Похожие вопросы
Предмет: Математика,
автор: boyboyb4oyfuftu
Предмет: География,
автор: darijvalentna9
Предмет: Алгебра,
автор: bb573878
Предмет: Математика,
автор: mrdenisglushk