Предмет: Алгебра,
автор: chaosmmo
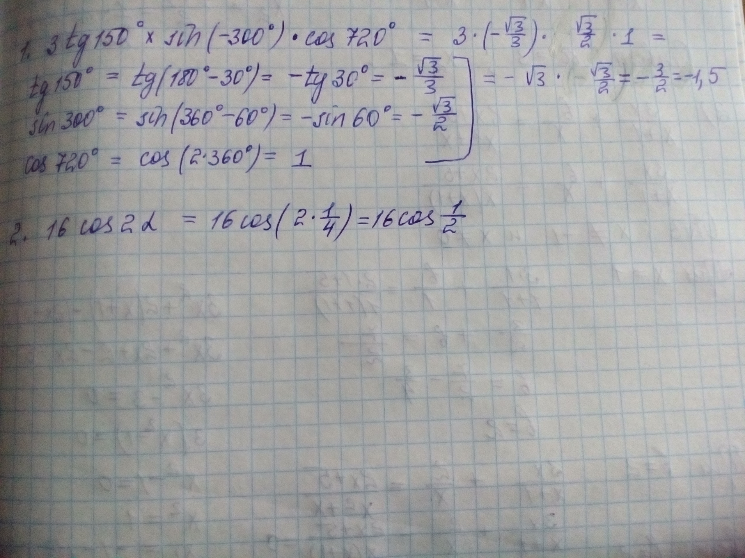
1) 3tg150×sin (-300)×cos720
2) 16cos2a , где а=1/4
Ответы
Автор ответа:
0
1) 3tg150 * Sin(- 300) * Cos720 = - 3tg(180 - 30) * Sin(270 + 30) *
* Cos(360 * 2 + 0) = - 3(- tg30) * (- Cos30) * Cos0 =
* Cos(360 * 2 + 0) = - 3(- tg30) * (- Cos30) * Cos0 =
Автор ответа:
0
!!!!!!!!!!!!!!!!!!!!!!!!
Приложения:
Автор ответа:
0
Вы потеряли "минус"
Автор ответа:
0
У вас -cos30=√3/2. Это ошибка. -cos30= -√3/2. Поэтому в ответе у меня 1.5
Автор ответа:
0
У меня в произведении три минуса в результате в ответе "-" . Так что у меня всё верно. А вы написали чему равен Sin 300 и подставили это значение, но у вас то не Sin300, а Sin(- 300) - вот этот минус вы и потеряли.
Автор ответа:
0
Да, вы правы. Ошибка исправлена.
Автор ответа:
0
Вот и хорошо))
Похожие вопросы
Предмет: Математика,
автор: Аноним
Предмет: Информатика,
автор: sabinnulya80
Предмет: Математика,
автор: Аноним
Предмет: География,
автор: mashalisica
Предмет: География,
автор: art1111666