Предмет: Алгебра,
автор: katepavlichenkp2gqba
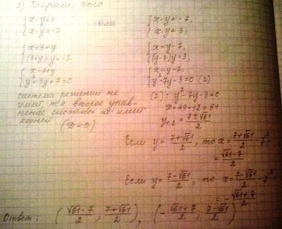
Система рівнянь
x-y+xy= - 4
xy(x-y) = - 21
Ответы
Автор ответа:
0
Система симметрична. Стандартная замена через u и v
Приложения:
Автор ответа:
0
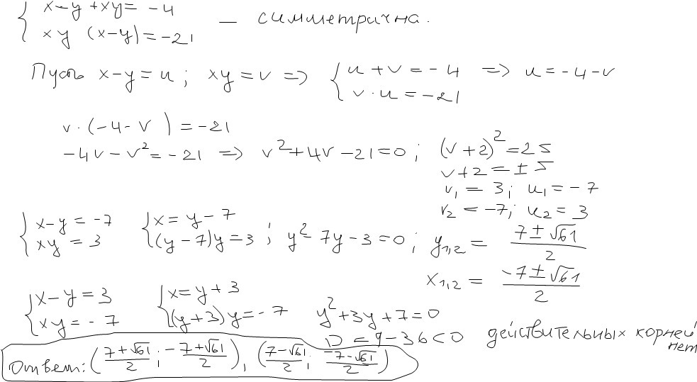
Проверьте, пожалуйста, правильность записи решения системы. Думаю, что Вами допущена ошибка.
Автор ответа:
0
Решение во вложенных изображениях
Приложения:
Похожие вопросы
Предмет: Математика,
автор: Аноним
Предмет: Математика,
автор: eiruuuuud
Предмет: Математика,
автор: juliamaksiyk87
Предмет: Математика,
автор: piggeta
Предмет: Литература,
автор: kseniya011100