Предмет: Алгебра,
автор: Аноним
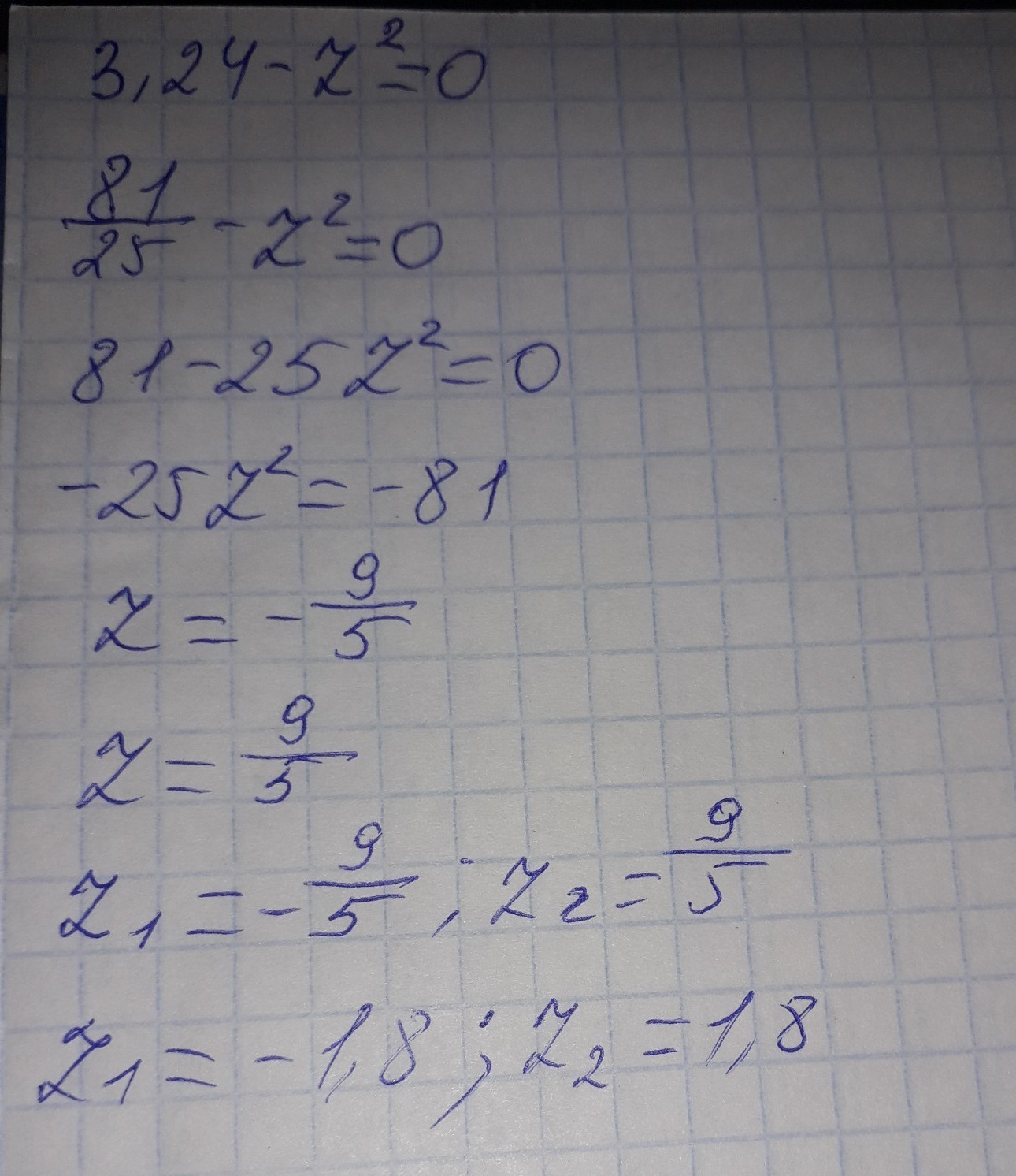
решение уравнение3.24-Z^2=0
Ответы
Автор ответа:
0
вот. Надеюсь поймешь мой ужасный почерк
Приложения:
Похожие вопросы
Предмет: Математика,
автор: ilakovalcuk88
Предмет: Алгебра,
автор: olyyachka
Предмет: Алгебра,
автор: matinka58
Предмет: Математика,
автор: tov05
Предмет: Математика,
автор: Meri8331