Предмет: Математика,
автор: вернер2
помогите с геометрией 20балов!
Приложения:
Ответы
Автор ответа:
0
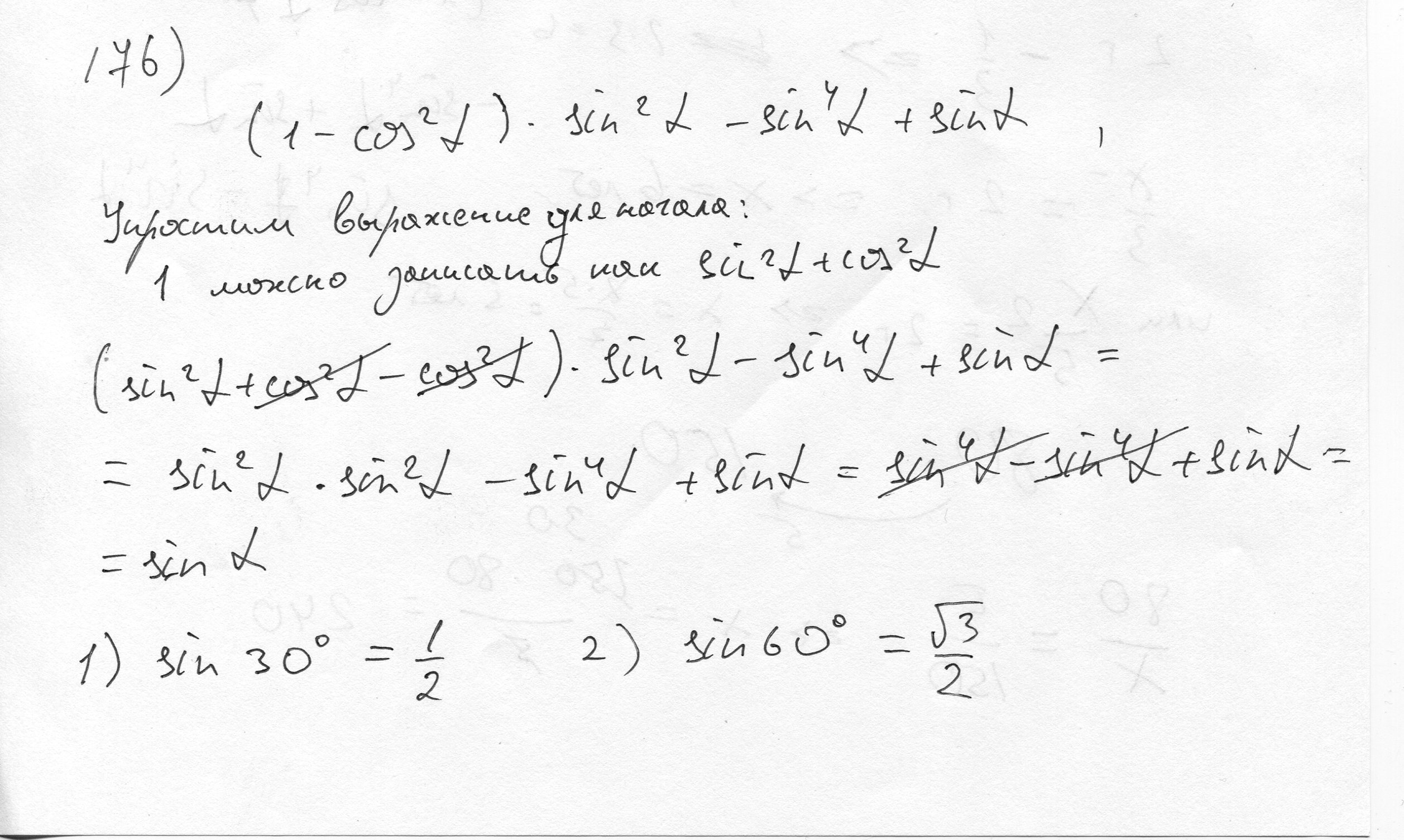
Скан решения данной задачи
Приложения:
Автор ответа:
0
спасибо
Похожие вопросы
Предмет: Українська мова,
автор: sashatop78
Предмет: Физика,
автор: Аноним
Предмет: Биология,
автор: Аноним
Предмет: История,
автор: Аноним
Предмет: Математика,
автор: лида142