Предмет: Алгебра,
автор: retoptera2017p2adcf
Решите
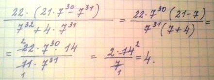
22*(21*7^30-7^31)/7^32+4*7^31
Ответы
Автор ответа:
0
Условие читается двояко. Если я правильно его воспроизвела, то решение во вложенном изображении
Приложения:
Похожие вопросы
Предмет: Физика,
автор: zhiltsov18
Предмет: Українська мова,
автор: Аноним
Предмет: Другие предметы,
автор: alexseypicugin12
Предмет: Математика,
автор: Аноним
Предмет: История,
автор: chervyachokana