Предмет: Алгебра,
автор: камил486
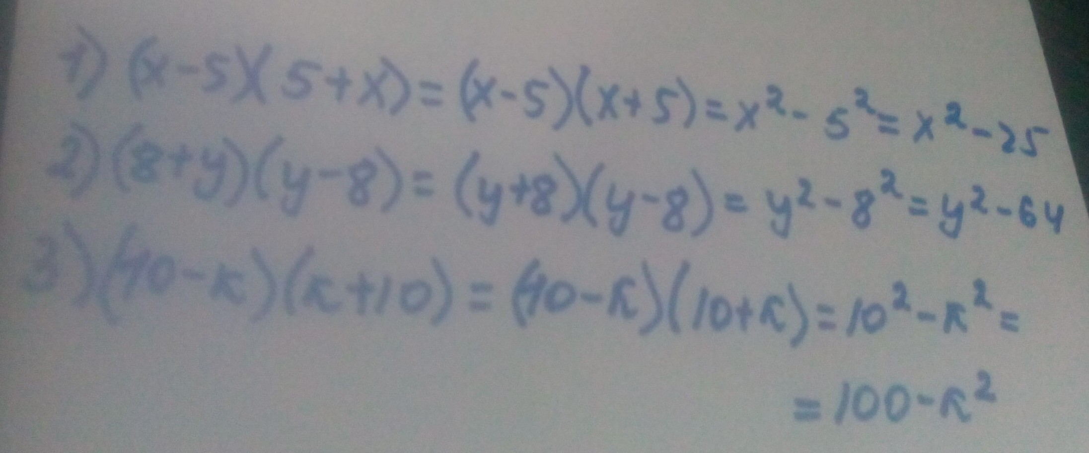
1) (x-5)(5+x) 2) (8+y)(y-8) 3) (10-k)(k+10) выполните действие.
Ответы
Автор ответа:
0
Решение смотри на фото
Приложения:
Автор ответа:
0
1) (х-5)(5+х)= (х-5)(х+5)= х²-5²=х²-25
2) (8+у)(у-8)= (у+8)(у-8)= у²-8²= у²-64
3) (10-k)(k+10)= (10-k)(10+k)= 10²-k²=100-k²
2) (8+у)(у-8)= (у+8)(у-8)= у²-8²= у²-64
3) (10-k)(k+10)= (10-k)(10+k)= 10²-k²=100-k²
Приложения:
Похожие вопросы
Предмет: Українська мова,
автор: pancirartem
Предмет: Українська мова,
автор: jramzentaler
Предмет: Биология,
автор: Аноним
Предмет: Алгебра,
автор: gelyna2003