Предмет: Алгебра,
автор: нСаня11111111111
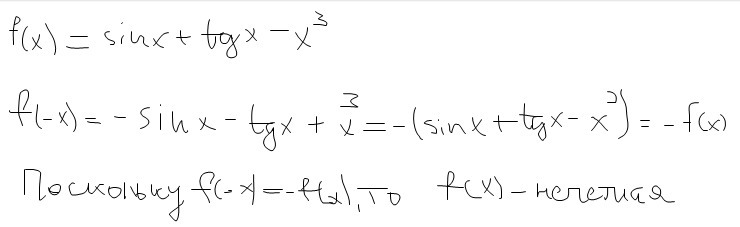
Визначте парність (непарність) функції f(x)=sin x+tg x -x^3
Ответы
Автор ответа:
0
Функция является нечетной..
Приложения:
Похожие вопросы
Предмет: Українська література,
автор: maksimenkovadim235
Предмет: Физика,
автор: krauserrr
Предмет: Другие предметы,
автор: rselcan33
Предмет: История,
автор: 23missy