Предмет: Алгебра,
автор: nnast
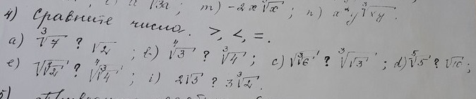
помогите с алгеброй, пожалуйста!!!!!!!!!!!
Приложения:
Ответы
Автор ответа:
0
Решение на фото///////////
Приложения:
Похожие вопросы
Предмет: Литература,
автор: akkforanime
Предмет: Математика,
автор: milka609
Предмет: Литература,
автор: nguyendinhthangkiev
Предмет: Математика,
автор: dasha200520052005
Предмет: Физика,
автор: Л1ЕРА11