Предмет: Химия,
автор: gvikp26zaa
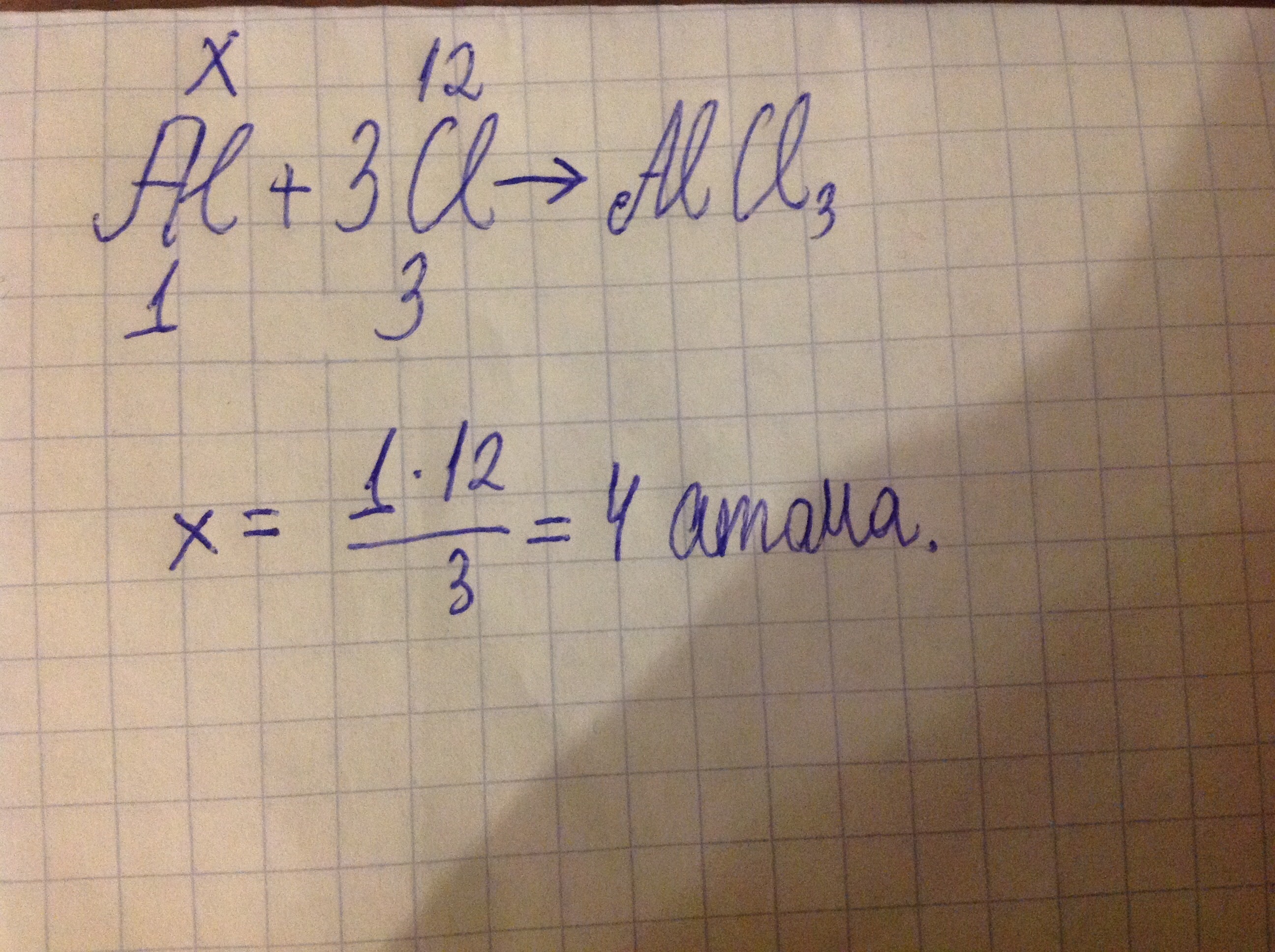
Вычисли, сколько атомов алюминия реагируют с 12 молекулами хлора.
Ответы
Автор ответа:
0
Я сфотографировал ответ.
УДАЧИ ВАМ ВО ВСЁМ)))!
С НОВЫМ ГОДОМ)))!
УДАЧИ ВАМ ВО ВСЁМ)))!
С НОВЫМ ГОДОМ)))!
Приложения:
Автор ответа:
0
Спасибо тебе тоже
Похожие вопросы
Предмет: Математика,
автор: ksusakitajgora
Предмет: Математика,
автор: makeevayt
Предмет: Английский язык,
автор: uftdyuftd
Предмет: Математика,
автор: rus731