Предмет: Математика,
автор: ПкППК
помогите решить.
3(у-1.3)=-2 13
Ответы
Автор ответа:
0
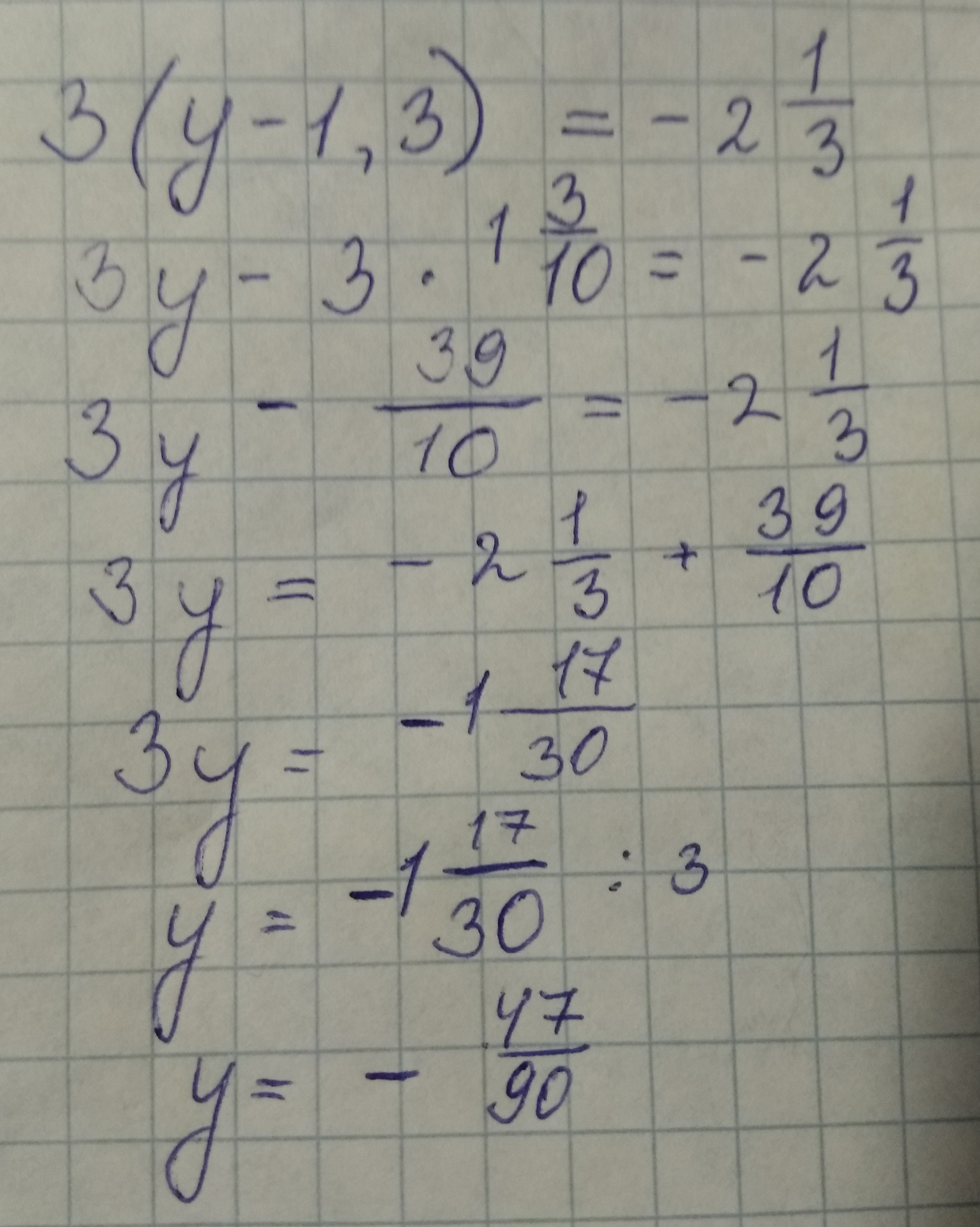
Решение на фотографии.
Приложения:
Автор ответа:
0
1. 3у- 3.9=-2 1/3
2. 3у=3 910 -2 13
3. 3у= 3 2730- 2 1030
4. 3у= 1 1730
5. у= 1 1730 : 3
6. у=9047=1 4347
Ответ у= 1 43/47
2. 3у=3 910 -2 13
3. 3у= 3 2730- 2 1030
4. 3у= 1 1730
5. у= 1 1730 : 3
6. у=9047=1 4347
Ответ у= 1 43/47
Приложения:
Похожие вопросы
Предмет: Алгебра,
автор: gvobal2007
Предмет: Информатика,
автор: stopov347
Предмет: География,
автор: sardorkham
Предмет: Алгебра,
автор: Alinas123456
Предмет: Биология,
автор: сонечка2709