Предмет: Математика,
автор: Amina11138737
Кто может, помогите(срочно)
Приложения:
Ответы
Автор ответа:
0
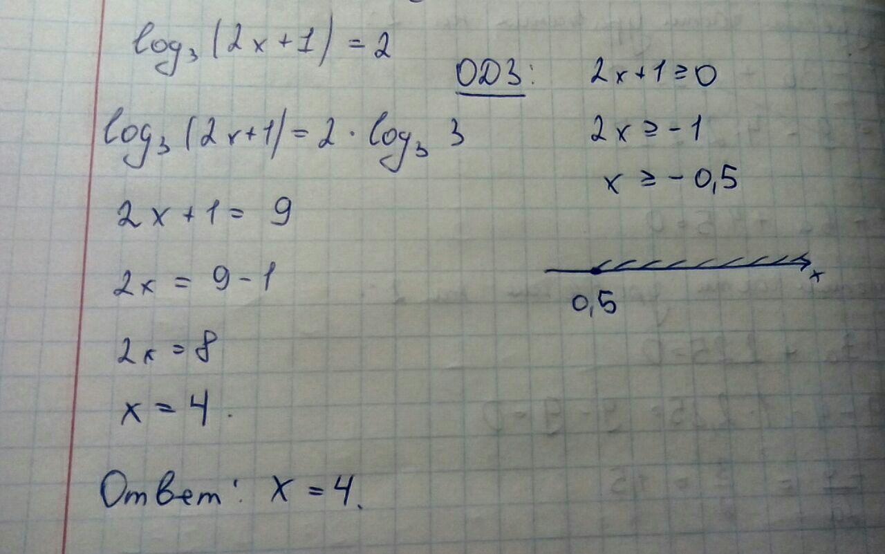
Готово! Ответ На фото:
Приложения:
Автор ответа:
0
Можно вопрос. А почему там 2 умножаем на log3
Автор ответа:
0
Объяснение
Автор ответа:
0
Если умножим число 2 на логарифм три по основанию три, то будет тоже число, то есть 2. Логарифм трех по основанию три равен единицы (по основному логарифмическому свойству), а если мы умножим любое число на 1, то ничего не изменится.
Автор ответа:
0
спасибо
Автор ответа:
0
А домножал я, чтобы справа и слево были одни и те же логарифмы (с одинаковыми основаниями), потом я смогу их опустить и дальше решать уравнения.
Похожие вопросы
Предмет: Алгебра,
автор: severus084
Предмет: Алгебра,
автор: leylasyama270
Предмет: Українська мова,
автор: egbolshackow
Предмет: Математика,
автор: Аноним
Предмет: Алгебра,
автор: HistoryHelper