Предмет: Алгебра,
автор: hasanovakris51
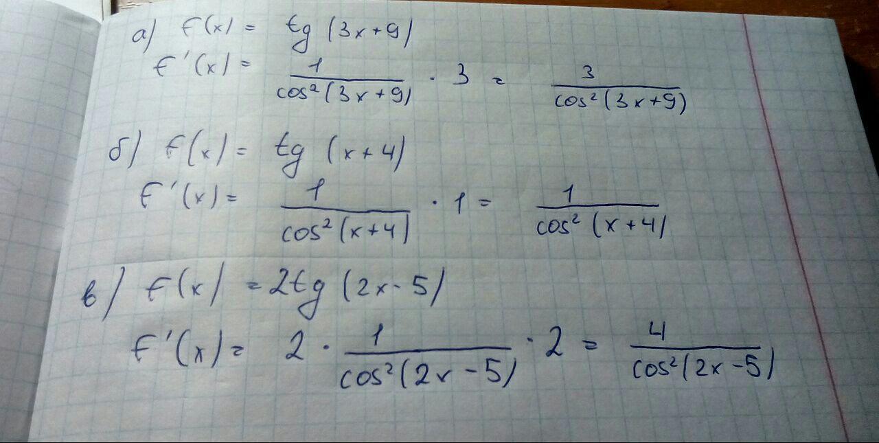
Найдите производную функции:
Спасибо
Приложения:
Ответы
Автор ответа:
0
Готово! Ответ на фото:
Приложения:
Похожие вопросы
Предмет: Информатика,
автор: superbogdanm
Предмет: Математика,
автор: yaartemenkoo
Предмет: Русский язык,
автор: rustamovkamran7
Предмет: Алгебра,
автор: rabcheshira
Предмет: Алгебра,
автор: Аноним