Предмет: Алгебра,
автор: шаьалцщ03ц20033в
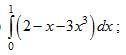
ОЧЕНЬ СРОЧНО РЕШИТЕ ЖЕЛАТЕЛЬНО ПОДРОБНО
Приложения:
Ответы
Автор ответа:
0
Решение в приложенном файле
Приложения:
Похожие вопросы
Предмет: Английский язык,
автор: Аноним
Предмет: Физика,
автор: SandyGENIUS
Предмет: Математика,
автор: vitalikplay52
Предмет: Литература,
автор: Leafa
Предмет: Физика,
автор: 89190553140alek