Предмет: Алгебра,
автор: Петрушка15
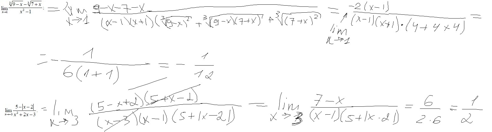
Найдите пределы функций
Приложения:
Ответы
Автор ответа:
0
***********************************
Приложения:
Похожие вопросы
Предмет: Химия,
автор: poly77
Предмет: Музыка,
автор: elizavetagutar094
Предмет: Математика,
автор: elektronnyibot
Предмет: Обществознание,
автор: Элеонора11111
Предмет: Математика,
автор: Аноним