Предмет: Химия,
автор: СПАСИТЕЕЕЕЕ
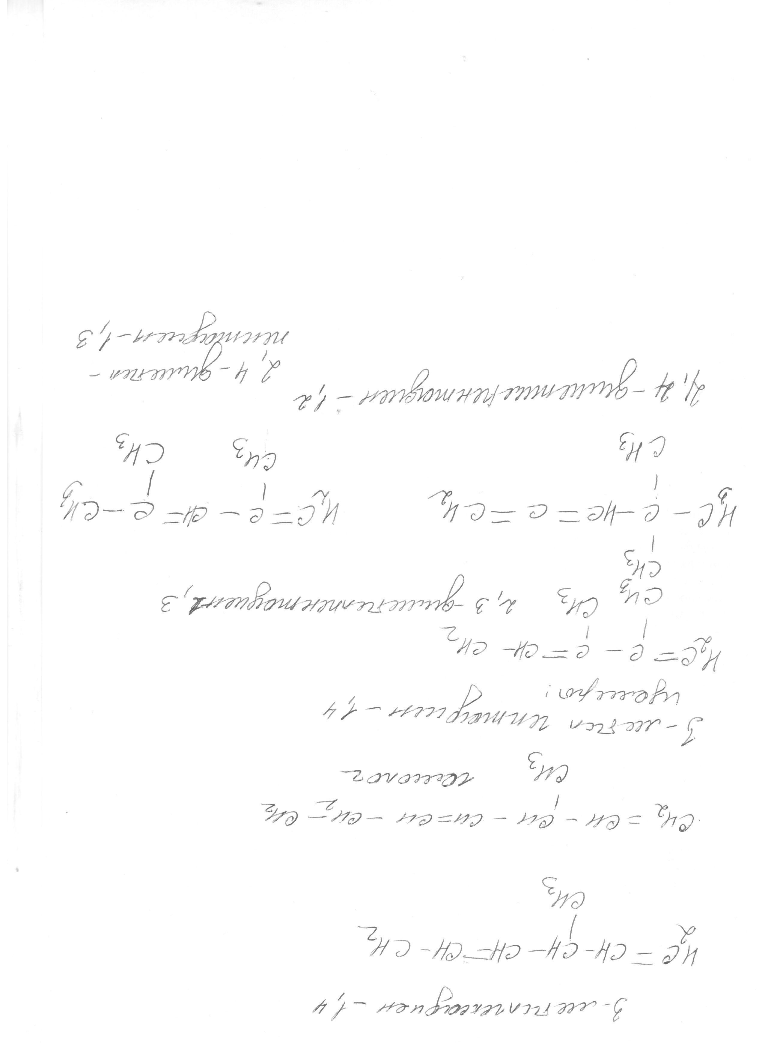
Для вещества: 3-метилгексадиена-1,4 составьте формулы 3 изомеров и 1 гомолога. Назовите все вещества по систематической номенклатуре
Ответы
Автор ответа:
0
см вложение
отсканированное
отсканированное
Приложения:
Похожие вопросы
Предмет: Английский язык,
автор: manukyanofelya0
Предмет: Алгебра,
автор: aida3466
Предмет: Математика,
автор: mursudovasevde33
Предмет: Химия,
автор: Diman6n
Предмет: Литература,
автор: кирилл417