Предмет: Алгебра,
автор: Eminem218911
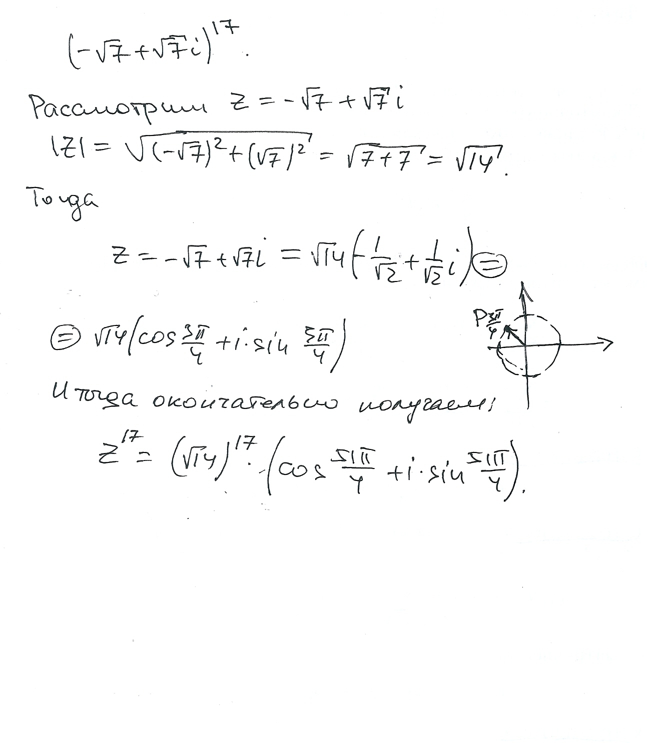
Помогите решить пожалуйста
Приложения:
Ответы
Автор ответа:
0
*************************************
Приложения:
Похожие вопросы
Предмет: Информатика,
автор: fhweeh
Предмет: Математика,
автор: annakaraleva45
Предмет: Математика,
автор: docbratoc
Предмет: Математика,
автор: Аноним