Предмет: Математика,
автор: Ankor17011
Логарифмы
Помогите пожалуйста решить ( очень нужно решение ), буду очень благодарен))))
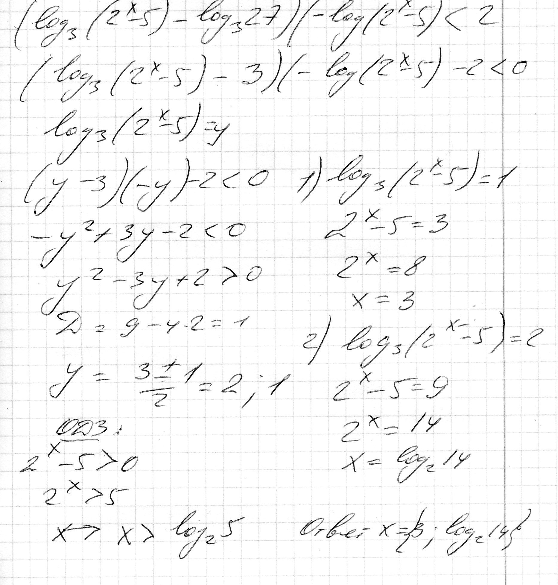
Приложения:
Ответы
Автор ответа:
0
.................................................
Приложения:
Автор ответа:
0
СПАСИИИИБООО
Похожие вопросы
Предмет: Математика,
автор: anabaleeva
Предмет: Химия,
автор: Nellych
Предмет: Русский язык,
автор: habibdzaurov8
Предмет: География,
автор: Аноним
Предмет: География,
автор: simonovadasha069