Предмет: Математика, автор: anya1239

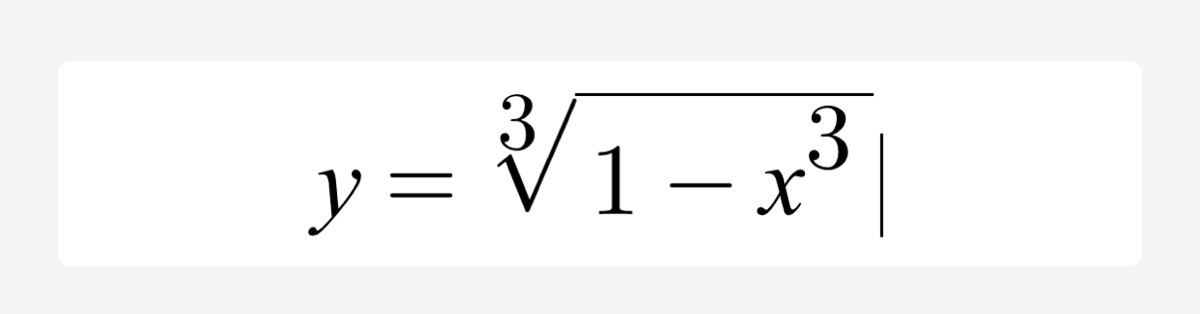
Описать и построить график функции

Приложения:

Ответы

Автор ответа: МаксончикГоркин
0
...................................
Приложения:
Похожие вопросы
Предмет: Английский язык, автор: matveidrozdoff
Переведите текст, пожалуйста (без переводчика)
Halloween

Halloween is a festival that is celebrated on the 31st of October. This day is the eve of All Saints' Day. The word “Halloween” is hundreds of years old. It comes from medieval England. But the origin of Halloween dates back hundreds of years to the Druid festival. They celebrated “All Hallows” Eve (in Old English “hallow” means “saint”). Long before this Celtic pagan tribes inhabited the territories of modern England. They thought that the year consisted of two parts – summer (bright part) and winter (dark part). The God of the Sun was taken prisoner during the winter. According to Celtic calendar the 1st of November was the day when the Druid New Year began. So they believed that just before this day witches and other evil spirits were playing tricks on human beings to mark the beginning of “dark” winter and the reign of the Lord of Death. Many ghosts and witches on the Earth and that they met on October 31 to worship the devil. People lit bonfires and made sacrifice.

These old traditions can still be found in countries of Celtic influence today. For example, in the United States children wear scary costumes of ghost and skeletons and masks (false faces) and go trick-or-treating. Trick-or-treating is the main Halloween activity for children. But what is trick-or-treating? Children go from door to door saying “trick or treat”. The neighbors give children treats like candies, fruit and money so that children do not play tricks on them.

Another Halloween tradition is making jack-o'-lanterns out of pumpkins. Jack-o'-lantern is a carved hollowed-out pumpkin with a face carved on one side. They also carve out rounded eyes in pumpkins and put a burning candle inside them so that they become visible from far away. There is an Irish legend which says that jack-o'-lanterns were named after the man called Jack. He was a miser and could not enter heaven, neither could he enter hell because he had played jokes on devil. As a result, Jack has to walk on the earth with his lantern until Judgment Day.

Storytelling about ghosts and witches and fortunetelling and are popular activities on this day. Today, people do not believe in ghosts and witches but they like to tell stories about them on Halloween. The custom of telling ghost stories on Halloween comes from the Druids. Fortunetelling is an important part of Halloween. Earlier a coin, a ring, and a thimble were baked into a cake. People believed that the person who found the coin would become wealthy. The one who found the ring would marry soon. And the person who found the thimble would never get married.
Предмет: Математика, автор: irinamatei83