Предмет: Геометрия,
автор: soupfordinnerp1jw7r
1)Найдите гипотенузу, если катеты равны 2см и 5 см 2)Найдите катет, если гипотенуза равна 8см, а второй катет равен 3см 3)Найдите сторону ромба, если его диагонали равны 6см и 8см 4)Найдите диагональ прямоугольника со сторонами 5см и 4см 5) Найдите площадь равнобедренного треугольника, если боковая сторона равна 7см, а основание – 4см Найдите высоту равнобокой трапеции с основаниями 6см и 14см, если боковая сторона равна 5см
Ответы
Автор ответа:
0
1) По теореме Пифагора с²=а²+в²; с²=2²+5²=4+25=√29;
2) с²=а²+в²⇒в²=с²-а²; в²= 8²-3²=√64-√9=√55;
3)АО=
АС=[tex] frac{1}{2} *6=3 см;
ВО=[tex] frac{1}{2} ВD= [tex] frac{1}{2} *8= 4 см;(рис.1)
4)пусть а=5см b =4 см с- диагональ по теореме пифагора с²=a²+b²= √25+√16=√41;
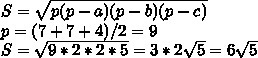
5)По формуле герона площадь равна
p - полупериметр, a, b, c - стороны(рис.2);
6)Рисуем трапецию АВСД
ВС = 6 см
АD = 14 см
АВ = СD = 5 см
Из вершины В опускаем высоту ВК.
АК = (АD - ВС) / 2 = (14 - 6) / 2 = 4 см
По теореме Пифагора высота
ВК = √AB² - √AK² = √(5² - 4²) = 3 см
Площадь
S = (АD + ВС) * ВК / 2 = (14 + 6) * 3 / 2 = 30 кв. см
2) с²=а²+в²⇒в²=с²-а²; в²= 8²-3²=√64-√9=√55;
3)АО=
ВО=[tex] frac{1}{2} ВD= [tex] frac{1}{2} *8= 4 см;(рис.1)
4)пусть а=5см b =4 см с- диагональ по теореме пифагора с²=a²+b²= √25+√16=√41;
5)По формуле герона площадь равна
p - полупериметр, a, b, c - стороны(рис.2);
6)Рисуем трапецию АВСД
ВС = 6 см
АD = 14 см
АВ = СD = 5 см
Из вершины В опускаем высоту ВК.
АК = (АD - ВС) / 2 = (14 - 6) / 2 = 4 см
По теореме Пифагора высота
ВК = √AB² - √AK² = √(5² - 4²) = 3 см
Площадь
S = (АD + ВС) * ВК / 2 = (14 + 6) * 3 / 2 = 30 кв. см
Приложения:
Похожие вопросы
Предмет: Химия,
автор: yanapospelova0503
Предмет: Геометрия,
автор: sssvvnlksass
Предмет: Русский язык,
автор: Xonka0999
Предмет: Математика,
автор: Аноним