Предмет: Математика,
автор: SиMкА
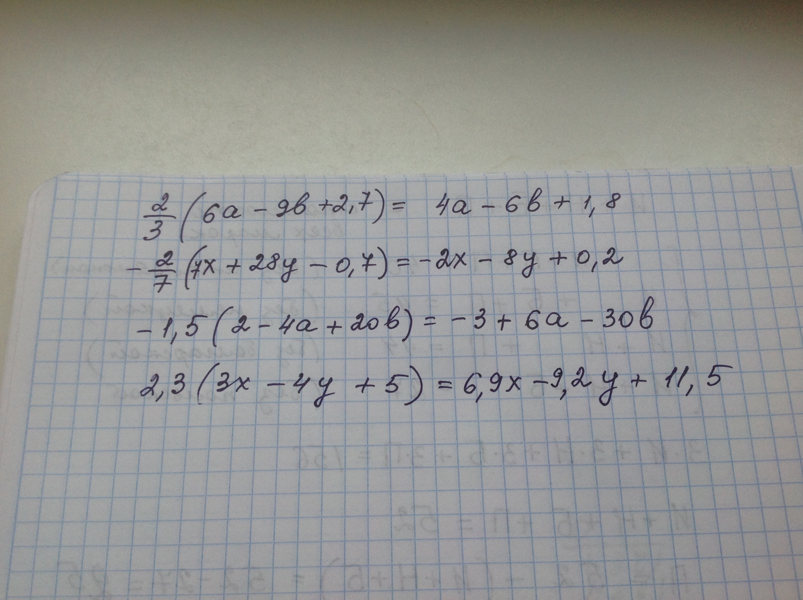
Раскройте скобки в выражениях (718)
1)2/3(6а - 9в + 2,7)=
2)-2/7(7х + 28у - 0,7)=
3)-1,5(2 - 4а + 20в)=
4)2,3(3х - 4у +5)=
Ответы
Автор ответа:
0
Решение смотри на фото
Приложения:
Автор ответа:
0
Спасибо!
Похожие вопросы
Предмет: Литература,
автор: Аноним
Предмет: Химия,
автор: babynib321
Предмет: Химия,
автор: adilaleksandr038
Предмет: Математика,
автор: катя02061
Предмет: Математика,
автор: anyameow01