Предмет: Математика, автор: papirus4

тема:производные
распишите,пожалуйста, подробнее

Приложения:

Ответы

Автор ответа: NNNLLL54
0
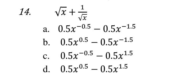
y= sqrt{x} +frac{1}{sqrt{x}}=x^{ frac{1}{2}}+x^{-frac{1}{2}}\\(x^{n})'=ncdot x^{n-1}\\y'=(x^{ frac{1}{2}})'+(x^{-frac{1}{2}})'= frac{1}{2}cdot x^{-frac{1}{2}}-frac{1}{2}cdot x^{-frac{3}{2}}=0,5cdot x^{-0,5}-0,5cdot x^{-1,5}
Автор ответа: papirus4
0
а почему 0,5???
Автор ответа: NNNLLL54
0
1/2=0,5
Автор ответа: NNNLLL54
0
3/2=1,5
Похожие вопросы