Предмет: Математика,
автор: Костэр
1. Упростить выражения и вычислить
log(4)7-log(4)3.5
2. Решить систему (фото)
Приложения:
Ответы
Автор ответа:
0
1.㏒₄7-㏒₄3.5=㏒₄₍7/3.5₎=㏒₄2=0.5 Ответ:0,5
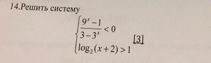
2.(9ˣ-1)/(3-3ˣ)<0
㏒₂(x=2)>1
9ˣ-1=0,9ˣ=9⁰,x₁=0.3-3ˣ=0,3ˣ=3.x₂=1, x(x-1)<0
㏒₂(x+2)>㏒₂2, x+2>2 x>0 x>0
x+2>0,x>-2, x>-2,
///////////////////
---------0-------------- 1--------------------->x
///////////////////////////////////////////
Ответ:(0;1)
2.(9ˣ-1)/(3-3ˣ)<0
㏒₂(x=2)>1
9ˣ-1=0,9ˣ=9⁰,x₁=0.3-3ˣ=0,3ˣ=3.x₂=1, x(x-1)<0
㏒₂(x+2)>㏒₂2, x+2>2 x>0 x>0
x+2>0,x>-2, x>-2,
///////////////////
---------0-------------- 1--------------------->x
///////////////////////////////////////////
Ответ:(0;1)
Похожие вопросы
Предмет: Английский язык,
автор: lylik05
Предмет: Алгебра,
автор: ademiabdrahmanova9
Предмет: Українська мова,
автор: anqhundr367
Предмет: Математика,
автор: джек014
Предмет: Биология,
автор: BLENDERiko