Предмет: Математика,
автор: Пёсель
ПОМОГИТЕ РЕШИТЬ ,ПОЖАЛУЙСТА, ОЧЕНЬ СРОЧНО, БУДЬТЕ ДОБРЫ
Найдите значение выражения:
Ответы
Автор ответа:
0
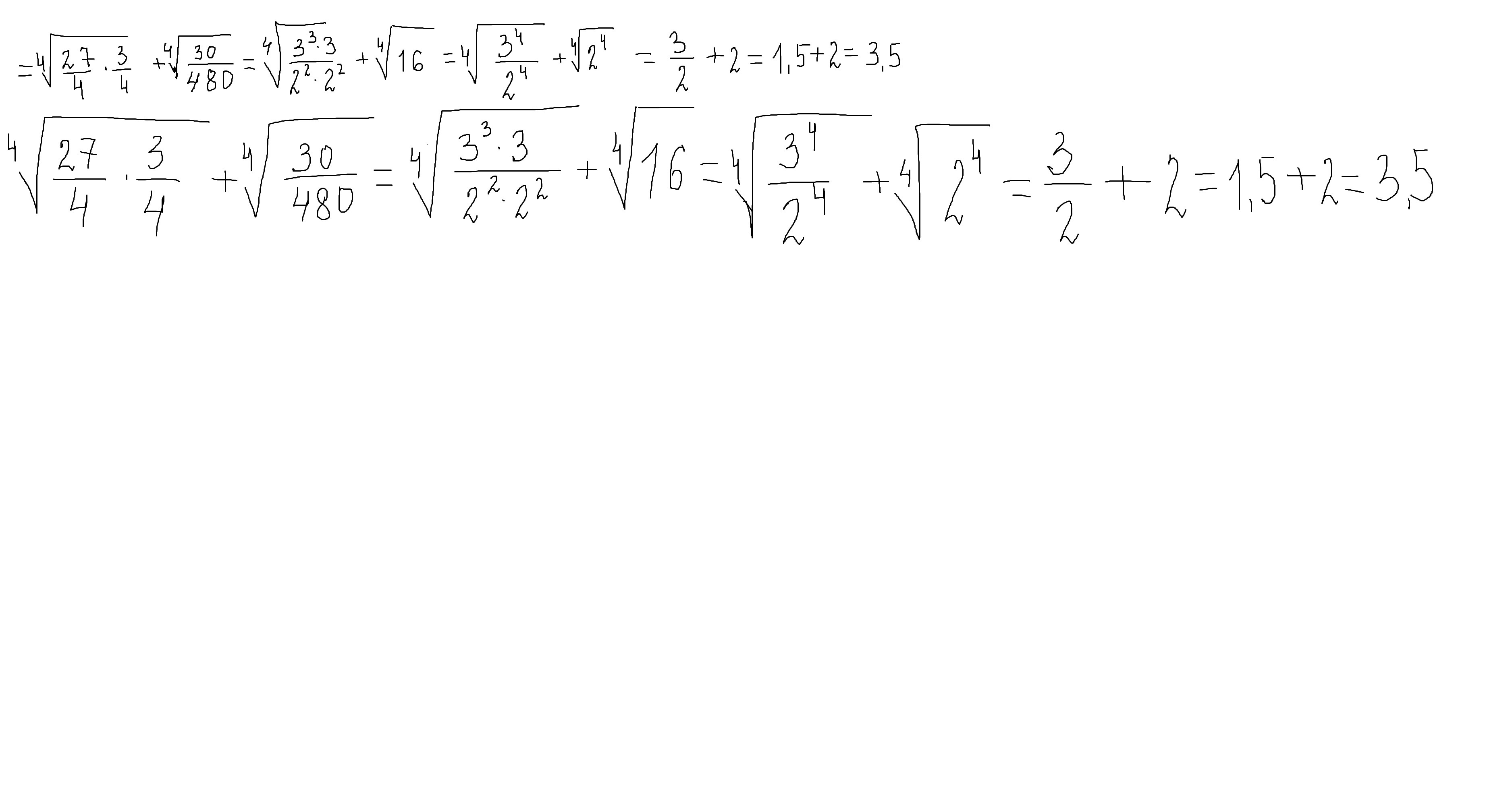
решение смотри внизу
постаралась написать крупнее
постаралась написать крупнее
Приложения:
Автор ответа:
0
спасибо большое, но у меня очень плохо видно
Автор ответа:
0
Спасибо
Автор ответа:
0
огромное спасибо Вам
Похожие вопросы
Предмет: Английский язык,
автор: definitegamsd
Предмет: Математика,
автор: 09bohdana
Предмет: Литература,
автор: anastasiiakopiltsiv
Предмет: Химия,
автор: 555Математика555
Предмет: Информатика,
автор: норка2008