Предмет: Алгебра,
автор: 7Ridik7
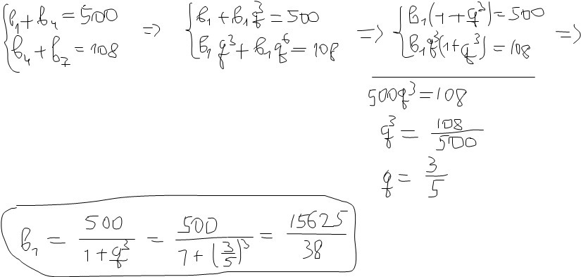
в геометрической прогрессии известно что b1+ b4 = 500; b4 + b7 = 108 найдите первый член данной прогрессии, до завтра, пожалуйста
Ответы
Автор ответа:
0
кенотрпиа345к4енри мса
Приложения:
Похожие вопросы
Предмет: Информатика,
автор: giornogjovana
Предмет: Русский язык,
автор: Zaraqwx
Предмет: Математика,
автор: rahmonkulovsohzahoe
Предмет: История,
автор: VerkaØñÍíńę
Предмет: Математика,
автор: arimalika