Предмет: Алгебра,
автор: Knyazevamoya
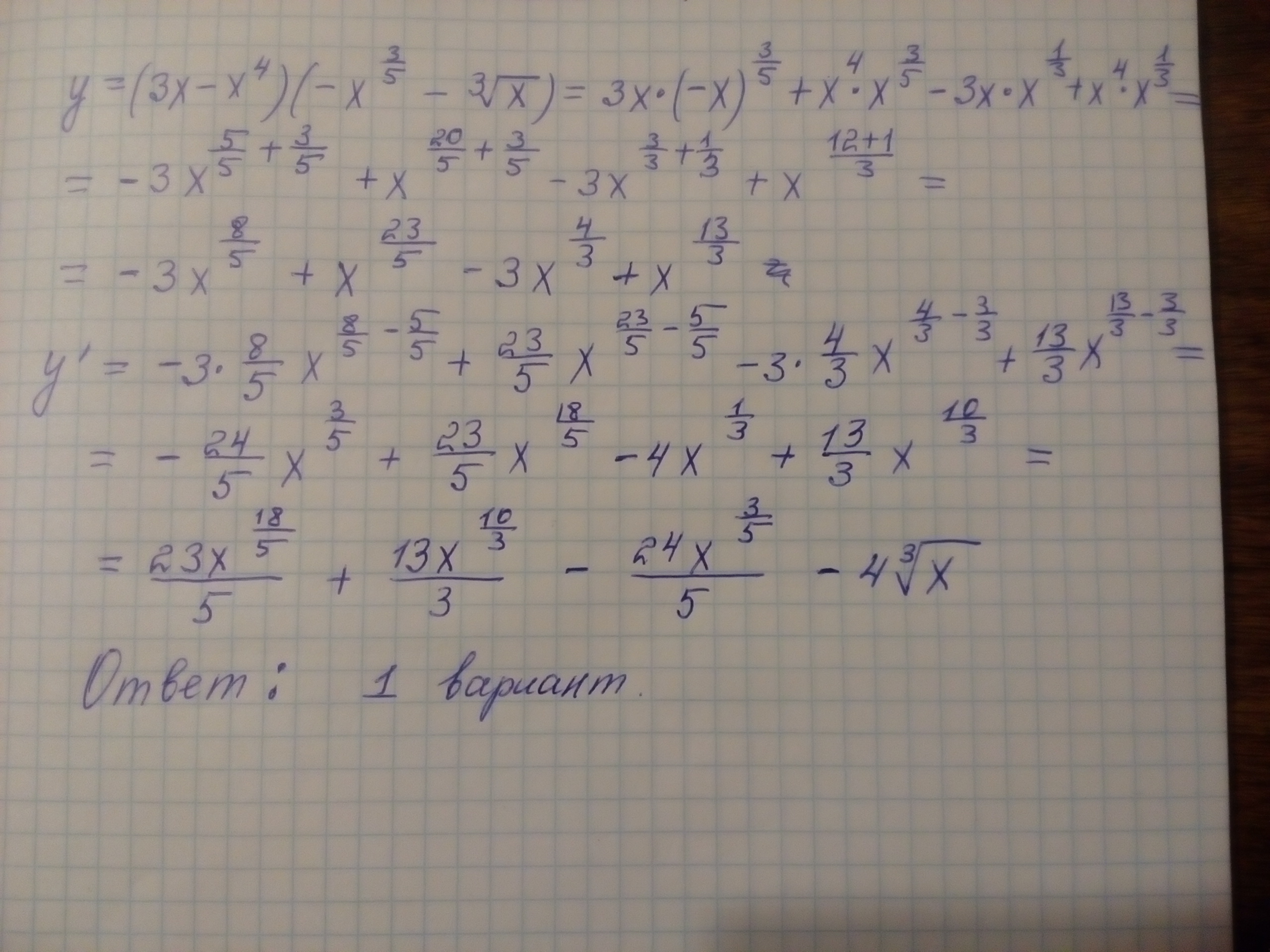
Помогите пожалуйста найти производную функции из вариантов ответа
Приложения:
Ответы
Автор ответа:
0
!!!!!!!!!!!!!!!!!!!!!!!!
Приложения:
Похожие вопросы
Предмет: Русский язык,
автор: ajnurmakiseva
Предмет: Математика,
автор: Noname7272
Предмет: Математика,
автор: artemzaz21
Предмет: Математика,
автор: анелия6
Предмет: Физика,
автор: Марьяна1234