Предмет: Математика,
автор: ПашкаВалерка
реееебяяяяяят 2 вариант 3 и 4 задание плз даю много баллов
Приложения:
Ответы
Автор ответа:
0
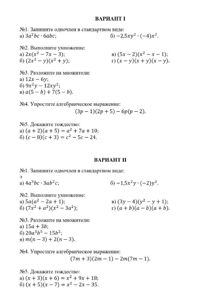
3.
a) .......=3(5a+b)
б) ......=5b²(4a³b³ - 3)
в) .....=(n-3)(m+2)
4.
............=14m² - 7m+6m-3-14m²+2m=m - 3
5.
a) ........=x²+6x+3x+18=x²+9x+18 - верно
б) ........=x² - 7x+5x - 35=x² - 2x - 35 - верно
a) .......=3(5a+b)
б) ......=5b²(4a³b³ - 3)
в) .....=(n-3)(m+2)
4.
............=14m² - 7m+6m-3-14m²+2m=m - 3
5.
a) ........=x²+6x+3x+18=x²+9x+18 - верно
б) ........=x² - 7x+5x - 35=x² - 2x - 35 - верно
Автор ответа:
0
3 в) разве не так ?
mn-3m+2n-6
mn-3m+2n-6
Автор ответа:
0
нет, у меня правильно
Автор ответа:
0
да у него правильно
Похожие вопросы
Предмет: Русский язык,
автор: kuzhlevaangelina
Предмет: Русский язык,
автор: sasasabalina38
Предмет: Математика,
автор: Аноним
Предмет: Математика,
автор: AnMarginocka
Предмет: Математика,
автор: Svinttttt