Предмет: Алгебра,
автор: ronityan
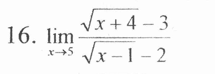
помогите решить методом Лопиталя
Приложения:
Ответы
Автор ответа:
0
',".',".',".',",',.",'",."",,'
Приложения:
Похожие вопросы
Предмет: Информатика,
автор: tanakunsevskaa
Предмет: История,
автор: nrzha
Предмет: Физика,
автор: petrenkoila823
Предмет: Математика,
автор: romandunaev89
Предмет: Литература,
автор: Аноним