Предмет: Математика,
автор: пух8564
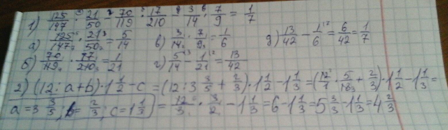
помогите пожалуйста. Выполните действие 1) 125/147×21/50-70/119×17/210-3/14×7/9=; 2)найди значения выражений (12÷a+b)1 1/2-c при a=3 3/5,b=2/3,c=1 1/3.
Ответы
Автор ответа:
0
00000000000000000 00000
Приложения:
Похожие вопросы
Предмет: Алгебра,
автор: zilenkovaanfisa
Предмет: Литература,
автор: nurlankyzyaisha2010
Предмет: Алгебра,
автор: cdufgjuojjhhu
Предмет: Литература,
автор: мария477
Предмет: Математика,
автор: мокрая1