Предмет: Физика,
автор: Rozia2244
помогите срочно пожалуйстаааааааааа!!!!!!!!!!!!!!!!!!!!!!!! дам 40 балов
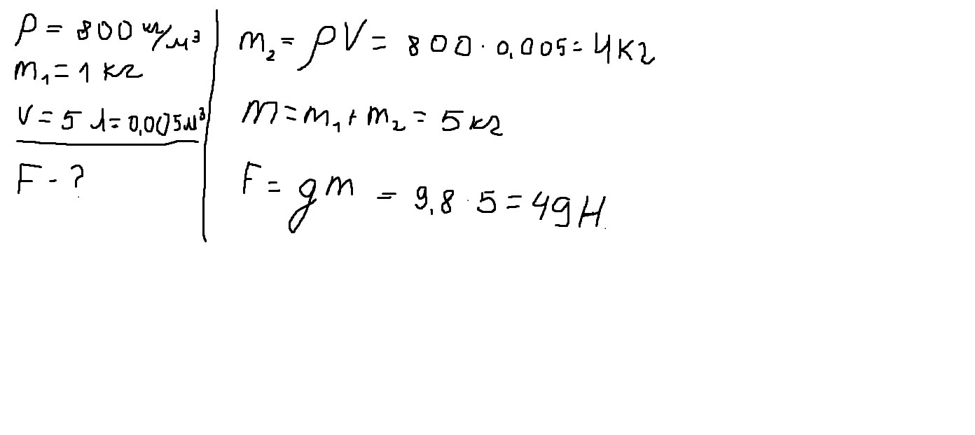
В бидон масса которого 1 кг налили 5 л керосина (плотность 800 кг на м в кубе)
Какую силу нужно приложить чтобы поднять бидон.
Ответы
Автор ответа:
0
надеюсь на фото все понятно
Приложения:
Похожие вопросы
Предмет: История,
автор: aveasaanil
Предмет: Литература,
автор: 227747
Предмет: Алгебра,
автор: Аноним
Предмет: Математика,
автор: trushin33
Предмет: История,
автор: varvara190504