Предмет: Математика,
автор: dilnaz116
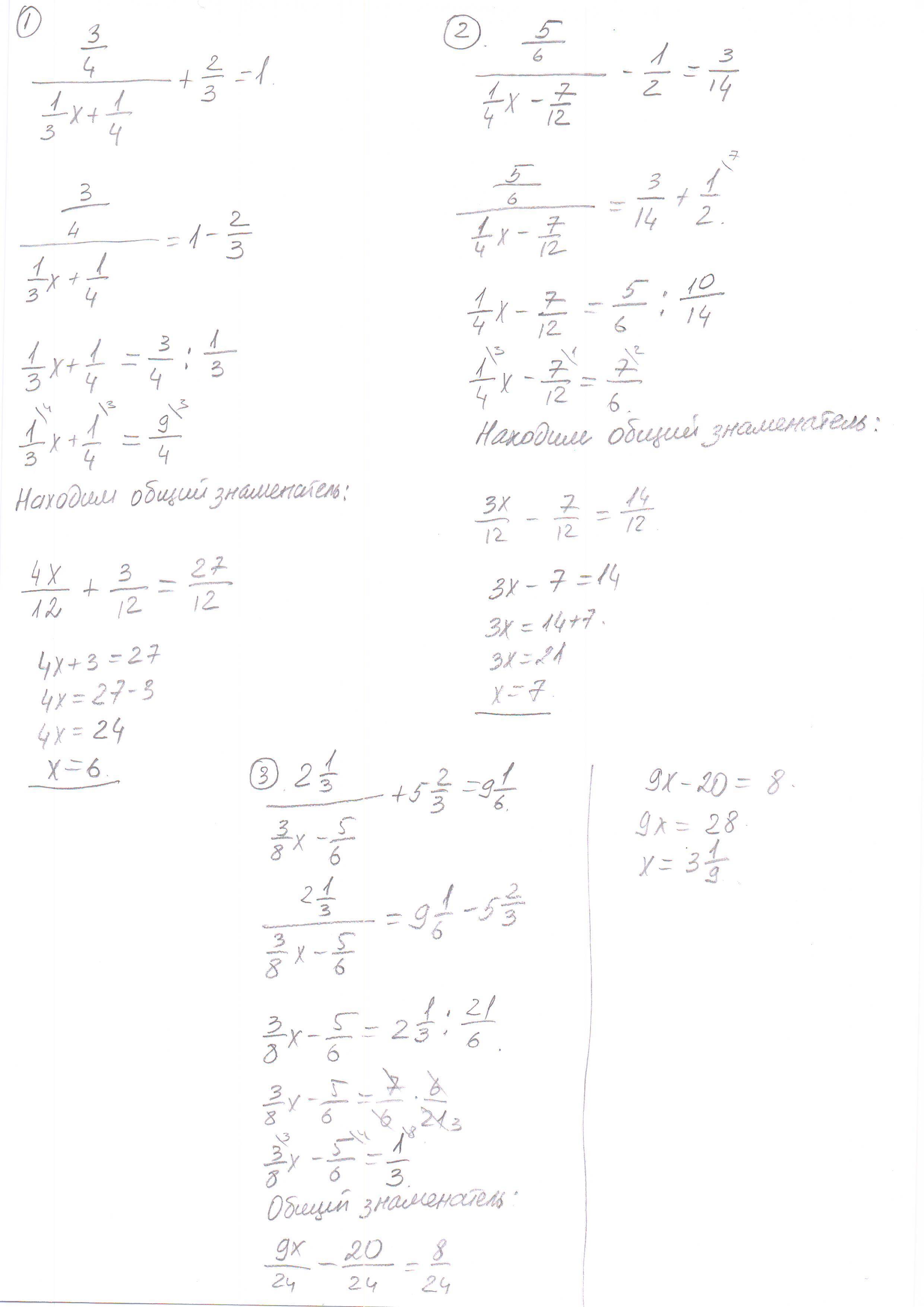
помогите пожалкйста решите уравнения можно на листочке
Приложения:
Ответы
Автор ответа:
0
Смотри решение в файле
Приложения:
Автор ответа:
0
спасибо большое
Похожие вопросы
Предмет: Оʻzbek tili,
автор: abdukaumovremzi
Предмет: Алгебра,
автор: ARUKA843
Предмет: История,
автор: semolejnikv
Предмет: Математика,
автор: Мурзинка