Предмет: Алгебра,
автор: Kylebroflovski
ПОМОГИТЕ! Пожалуйста завтра нужно сдать! Решить уравнение, напишите ОДЗ пожалуйста:
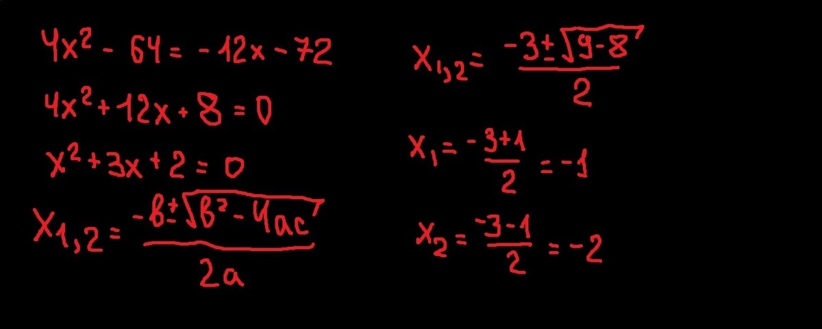
3/x^2+4x-15/x^2-4x=4/x
Ответы
Автор ответа:
0
...............................................................
Приложения:
Автор ответа:
0
Там ОДЗ нету
Похожие вопросы
Предмет: Английский язык,
автор: Аноним
Предмет: Химия,
автор: nesofiism
Предмет: Геометрия,
автор: ajkazgab1
Предмет: Математика,
автор: beautyrose1983
Предмет: Литература,
автор: bars028