Предмет: Математика,
автор: XxxxxxxxxpppxxxxX
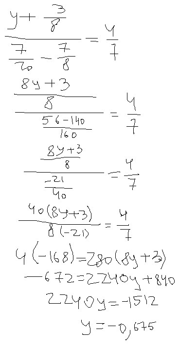
У+3/8дробная черта 7/20-7/8=4/7
Ответы
Автор ответа:
0
решение .надеюсь разберёшь :D.
Приложения:
Автор ответа:
0
Хз правльно ща проверю
Похожие вопросы
Предмет: Українська література,
автор: elezevillia1
Предмет: Литература,
автор: 12032010sofa
Предмет: Алгебра,
автор: artyommayak
Предмет: Математика,
автор: Ьадмаевп
Предмет: Математика,
автор: Аноним