Предмет: Алгебра,
автор: kazuko00
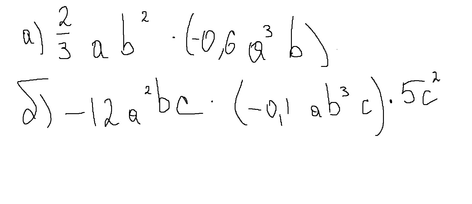
Приведите одночлены к стандартному виду :
Приложения:
Ответы
Автор ответа:
0
0.4a⁴b³
6a³b⁴c⁴
Вроде так
6a³b⁴c⁴
Вроде так
Похожие вопросы
Предмет: Алгебра,
автор: goncarovabogdana3
Предмет: История,
автор: g8929865
Предмет: Қазақ тiлi,
автор: sabina031992
Предмет: История,
автор: 18052004turkan
Предмет: Алгебра,
автор: jhfglrytg