Предмет: Математика,
автор: kadmit
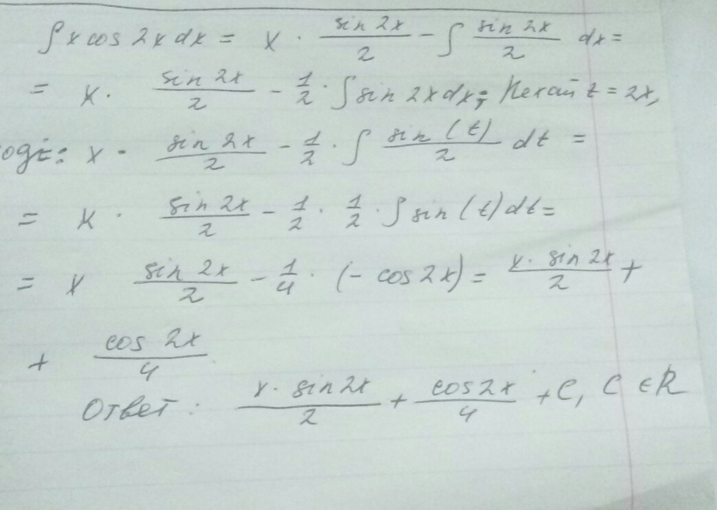
Вычислить неопределенный интеграл ∫xcos2xdx
Ответы
Автор ответа:
0
что знала, но я старалась, думаю помогла)
Приложения:
Похожие вопросы
Предмет: Русский язык,
автор: ernurabai201043
Предмет: Математика,
автор: kashimovvt
Предмет: Алгебра,
автор: ajsultansulejmenov
Предмет: Математика,
автор: Pauline020506