Предмет: Алгебра, автор: Надя24748

Помогите упростить выражение.

Приложения:

Ответы

Автор ответа: xtoto
0
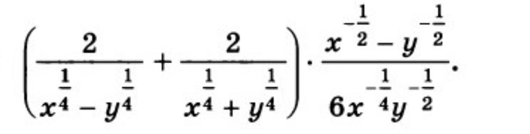
[ frac{2}{x^{1/4}-y^{1/4}} + frac{2}{x^{1/4}+y^{1/4}} ]* frac{x^{-1/2}-y^{-1/2}}{6x^{-1/4}y^{-1/2}} =\

=2* frac{x^{1/4}+y^{1/4}+x^{1/4}-y^{1/4}}{(x^{1/4}-y^{1/4})(x^{1/4}+y^{1/4})}* frac{x^{1/4}y^{1/2}(x^{-1/2}-y^{-1/2})}{2*3} =\

= frac{1}{3} * frac{x^{1/4}+y^{1/4}+x^{1/4}-y^{1/4}}{(x^{1/4}-y^{1/4})(x^{1/4}+y^{1/4})}* frac{x^{1/4}y^{1/2}(y^{1/2}-x^{1/2})}{x^{1/2}y^{1/2}}=\

= -frac{1}{3} * frac{2x^{1/4}}{x^{1/2}-y^{1/2}}* frac{x^{1/4}y^{1/2}(x^{1/2}-y^{1/2})}{x^{1/2}y^{1/2}}=\

= -frac{1}{3} * frac{2}1}* frac{1}{1}=- frac{2}{3}
Автор ответа: Надя24748
0
Спасибо большое!
Автор ответа: xtoto
0
пожалуйста!
Похожие вопросы
Предмет: Математика, автор: ekelpasito
Предмет: Русский язык, автор: yanagerassimova14478
Предмет: Алгебра, автор: stepashutkin