Предмет: Алгебра, автор: juniechannel33

Решите систему пожалуйста!!!
5x-13y=30
15x-5y=30

Ответы

Автор ответа: mixag5255
0
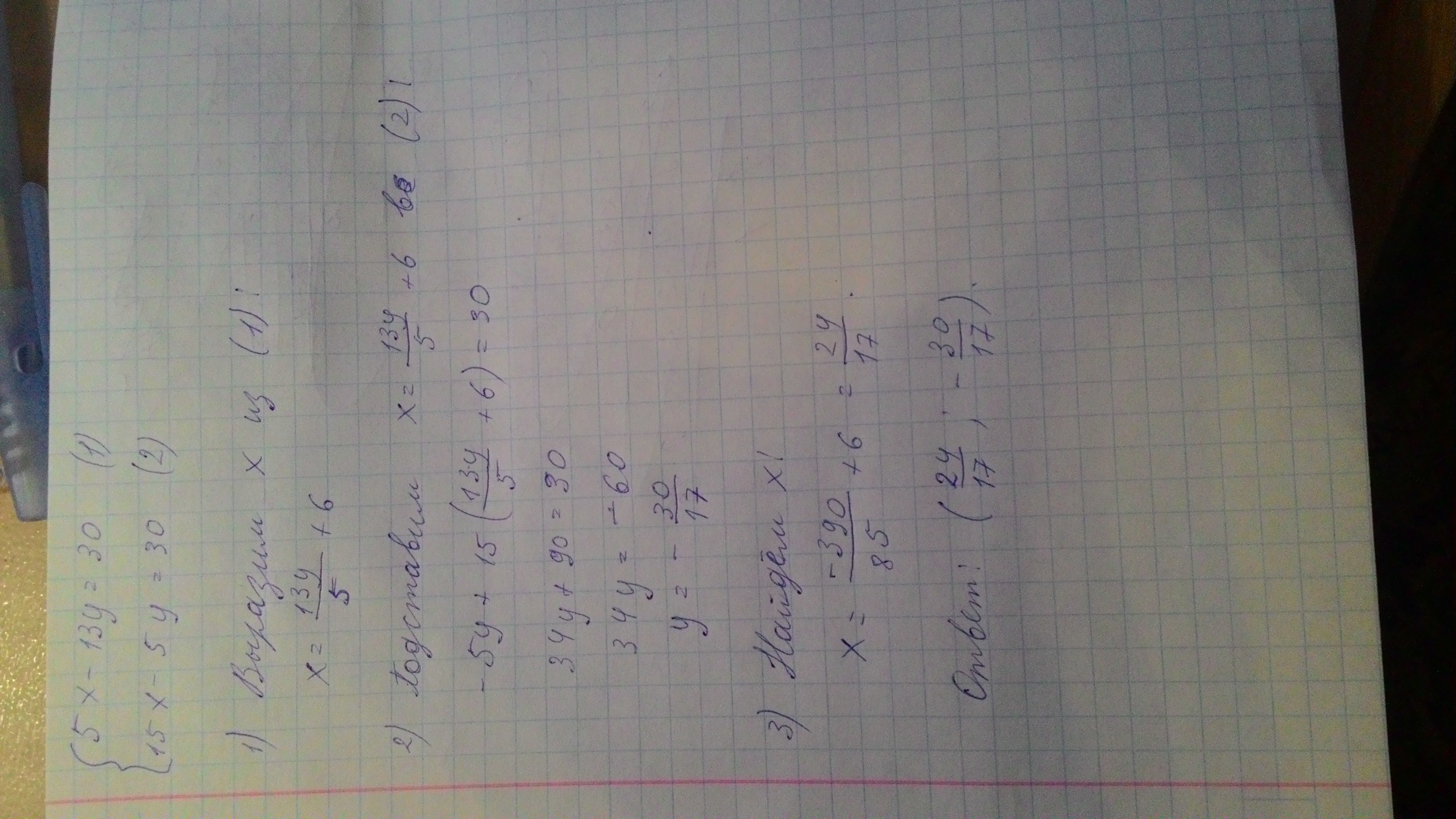
Держи, удачи. Если я не прав, соря))
Приложения:
Автор ответа: xtoto
0
ты прав
Автор ответа: xtoto
0
 left { {{5x-13y=30 } atop {15x-5y=30}} right. ; left { {{-3*(5x-13y)=-3*30 } atop {15x-5y=30}} right. ; left { {{-15x+39y=-90 } atop {15x-5y=30}} right. ;

 left { {{-15x+39y+(15x-5y)=-90+(30) } atop {5*(3x-y)=5*6}} right. ; left { {{-15x+39y+15x-5y=-90+30 } atop {3x-y=6}} right. ;

 left { {{34y=-60} atop {3x=y+6}} right. ; left { {{17y=-30} atop {x=frac{y+6}{3}}} right. ; left { {{y=-frac{30}{17}} atop {x=frac{y}{3}+ frac{6}{3} }} right. ; left { {{y=-frac{30}{17}} atop {x=-frac{30}{3*17}+ 2}} right. ;

 left { {{x=- frac{10}{17}+ frac{34}{17} } atop {y=-frac{30}{17} }} right. ; left { {{x=frac{24}{17} } atop {y=-frac{30}{17} }} right. .
Приложения:
Похожие вопросы
Предмет: Математика, автор: Umka984gmailcom