Предмет: Математика,
автор: zaynab20032003
помогите пожалуйста очень срочно!!!!
дам 100 баллов
Приложения:
Ответы
Автор ответа:
0
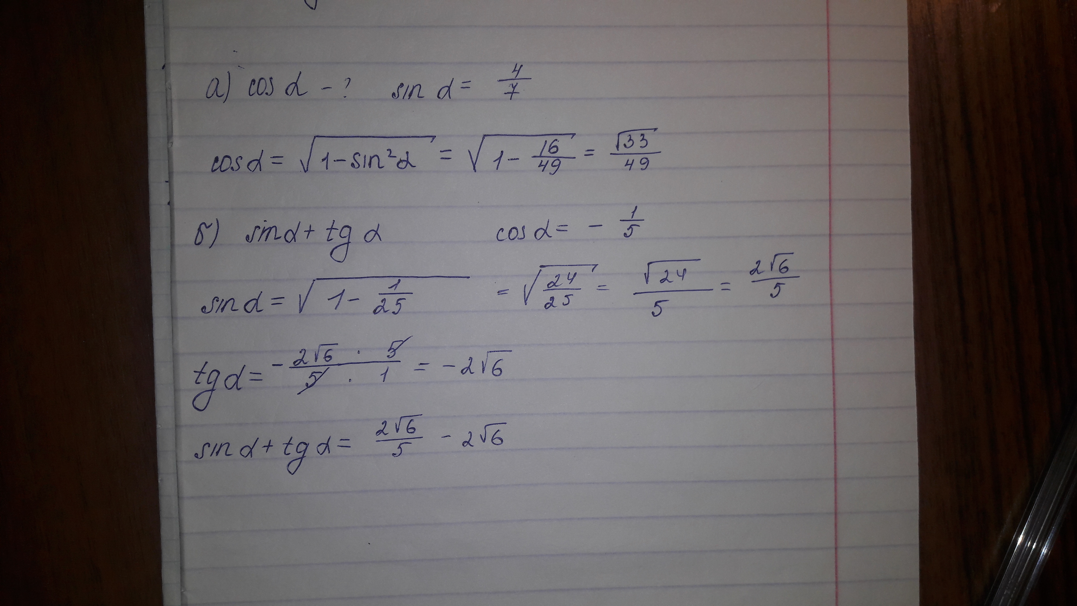
Вроде так должно быть
Приложения:
Автор ответа:
0
огромное спасибо
Похожие вопросы
Предмет: Английский язык,
автор: serikbaewalihan1718
Предмет: Геометрия,
автор: muha666228
Предмет: Химия,
автор: kerrolllina
Предмет: Алгебра,
автор: Olegmr
Предмет: Литература,
автор: варюня2