Предмет: Математика,
автор: ninapavina
ПОМОГИТЕ С 1-ЫМ ЗАДАНИЕМ!!! ПОЖАЛУЙСТА!!!
Приложения:
Ответы
Автор ответа:
0
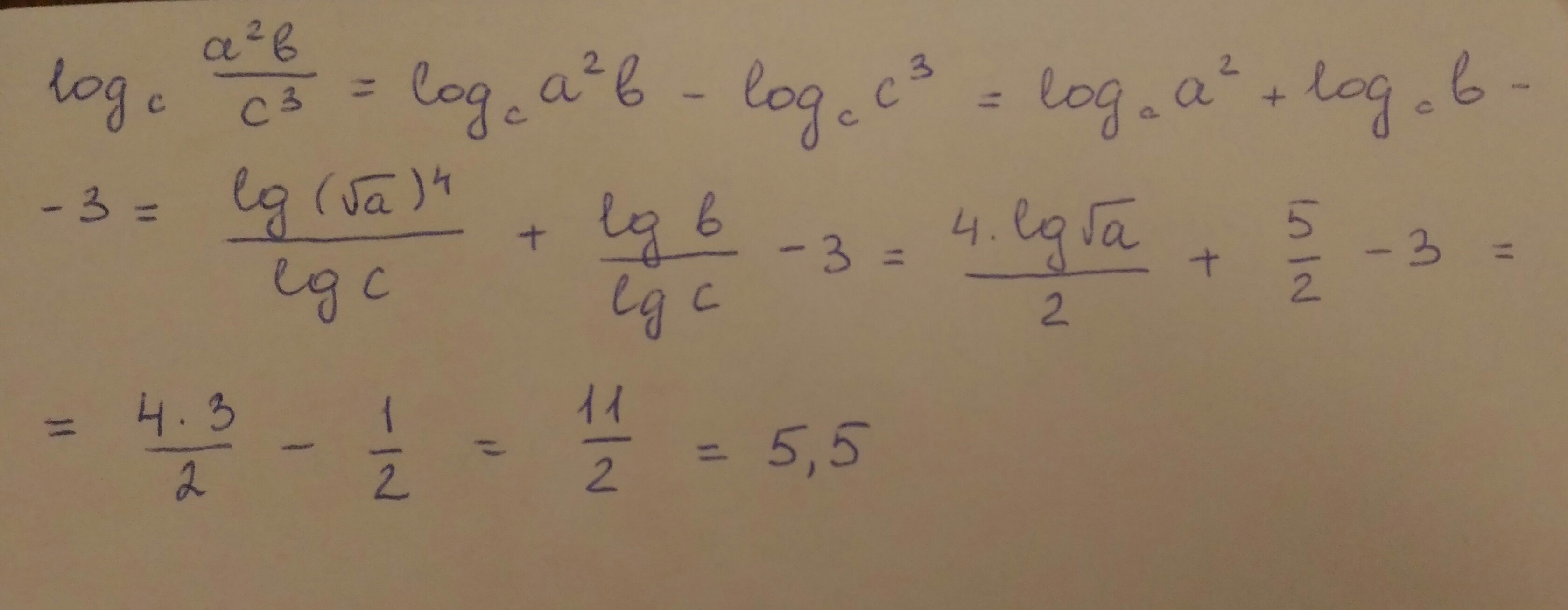
Решение прикрепляю, основано на свойствах логарифма
Приложения:
Похожие вопросы
Предмет: Оʻzbek tili,
автор: xushvaktovagulsevar
Предмет: Русский язык,
автор: ishmaevalex120
Предмет: Русский язык,
автор: vadimblednov51
Предмет: История,
автор: maks9025
Предмет: Математика,
автор: Firfuir