Предмет: Алгебра,
автор: zlatoust99
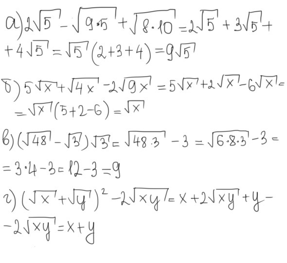
помогите.не знаю как решать.
Приложения:
Ответы
Автор ответа:
0
(Двадцать индийских слонов)
Приложения:
Похожие вопросы
Предмет: Қазақ тiлi,
автор: omirzakernar667
Предмет: История,
автор: repinavlada5
Предмет: Математика,
автор: cga6405
Предмет: Алгебра,
автор: Svetik433
Предмет: История,
автор: perekliki